Open Access
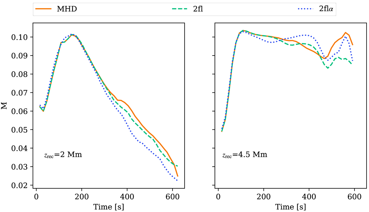
Fig. 10.

Download original image
Reconnection rates for the six simulations as a function of time. The two cases of reconnection height are considered: zrec = 2 Mm (left panel) and zrec = 4.5 Mm (right panel). Different curves indicate different models: MHD (solid orange line), 2fl (dashed green line), and 2flα (dotted blue line).
Current usage metrics show cumulative count of Article Views (full-text article views including HTML views, PDF and ePub downloads, according to the available data) and Abstracts Views on Vision4Press platform.
Data correspond to usage on the plateform after 2015. The current usage metrics is available 48-96 hours after online publication and is updated daily on week days.
Initial download of the metrics may take a while.