Fig. 2.

Download original image
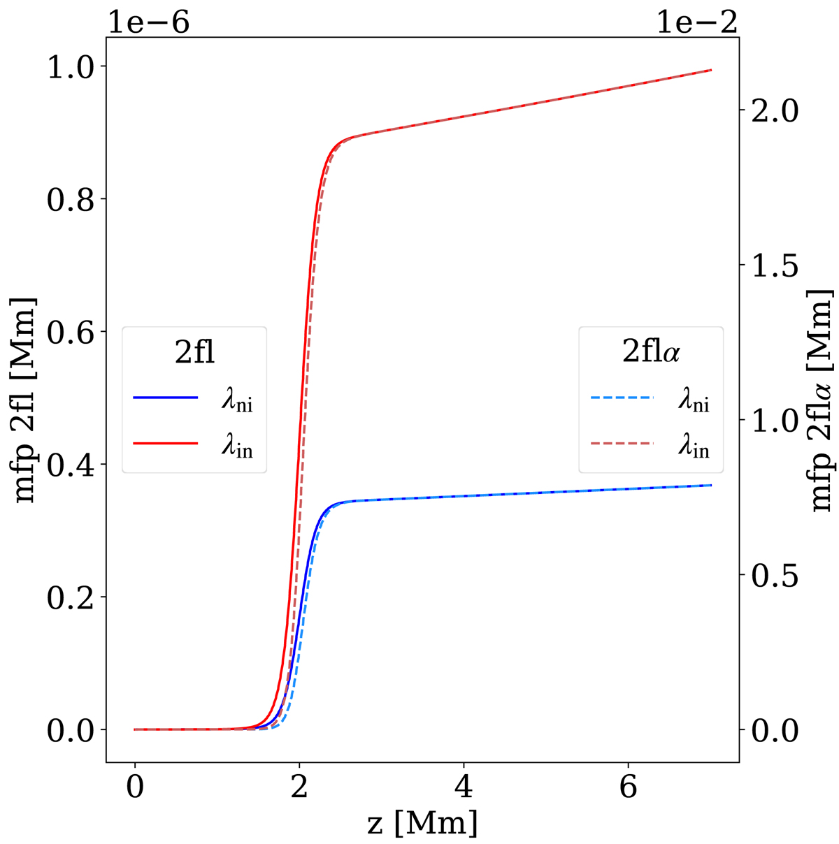
Collisional mean-free paths as functions of height. We show the mean-free paths between ions and neutrals (λin, red lines) and between neutrals and ions (λni, blue lines) for the two collisionality regimes considered: self-consistent from plasma-neutral parameters (2fl, solid lines, left axis) and reduced-case 2flα (dashed and dotted lines, right axis, with a different order of magnitude). The collisional mean-free paths were calculated according to Eq. (8).
Current usage metrics show cumulative count of Article Views (full-text article views including HTML views, PDF and ePub downloads, according to the available data) and Abstracts Views on Vision4Press platform.
Data correspond to usage on the plateform after 2015. The current usage metrics is available 48-96 hours after online publication and is updated daily on week days.
Initial download of the metrics may take a while.