Fig. 7.

Download original image
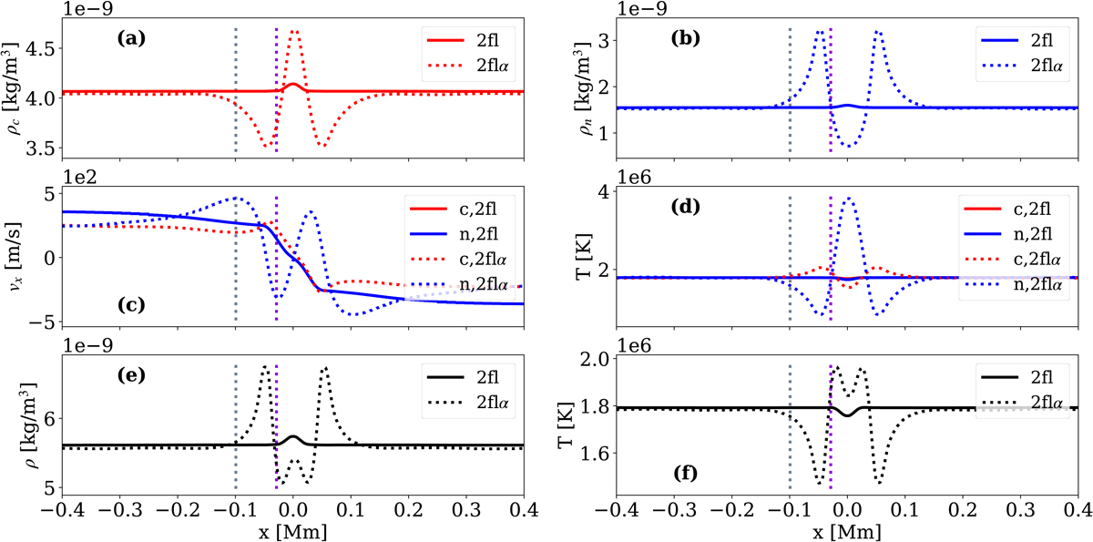
Horizontal cut at coronal height z = 4 Mm at time t = 622.6 s for the simulations with TR reconnection or zrec = 2 Mm. (a) Density of charges. (b) Density of neutrals. (c) x velocity for charges and neutrals. (d) Temperature of charges and neutrals. (e) Total density. (f) Center of mass temperature from Eq. (10). Different curves are for the two models considered – 2fl and 2flα – quantities for charges and neutrals are shown in the same plot in panels c and d, as indicated in the legend. The primary and secondary maximum peaks in the neutral collisional heating term for case 2flα, as shown in detail in Fig. 8 and located at z = −0.03 Mm and z = −0.1 Mm, are indicated by vertical violet and dotted gray lines, respectively.
Current usage metrics show cumulative count of Article Views (full-text article views including HTML views, PDF and ePub downloads, according to the available data) and Abstracts Views on Vision4Press platform.
Data correspond to usage on the plateform after 2015. The current usage metrics is available 48-96 hours after online publication and is updated daily on week days.
Initial download of the metrics may take a while.