Fig. 12.

Download original image
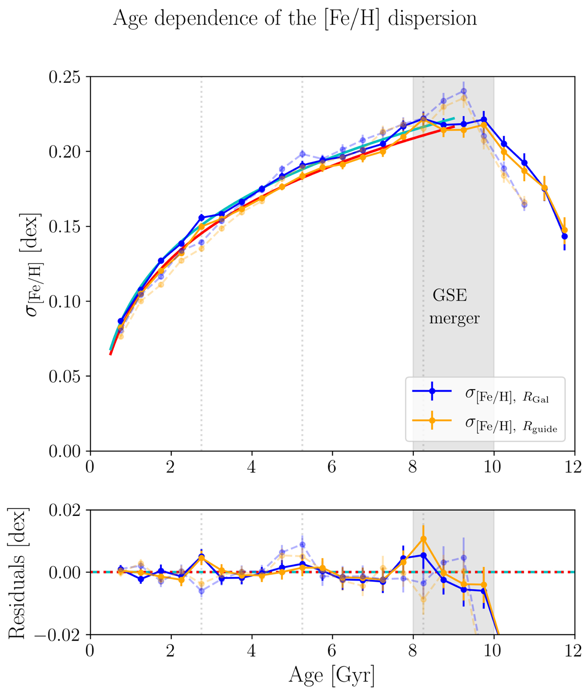
Age dependence of the [Fe/H] dispersion around the radial [Fe/H] abundance gradient shown in Fig. 11. Simple power-law fits to the data (for ages < 7 Gyr) are overplotted, with power-law coefficients 0.12 and 0.15 for the dispersions about the present-day abundance gradient (cyan) and the abundance gradient with respect to the guiding radius (red), respectively. The lower panel shows the residuals with respect to these fits. As in Fig. 11, the faint dashed lines and errorbars correspond to the gradients when using the alternative set of ages obtained with XGBoost quantile regression. The vertical lines highlight regions of departure from the power-law trend, possibly connected to episodes of enhanced star formation (or enhanced radial migration). The grey-shaded area marks the age interval in which we expect to see signatures from the Gaia Sausage Enceladus (GSE) merger event.
Current usage metrics show cumulative count of Article Views (full-text article views including HTML views, PDF and ePub downloads, according to the available data) and Abstracts Views on Vision4Press platform.
Data correspond to usage on the plateform after 2015. The current usage metrics is available 48-96 hours after online publication and is updated daily on week days.
Initial download of the metrics may take a while.