Open Access

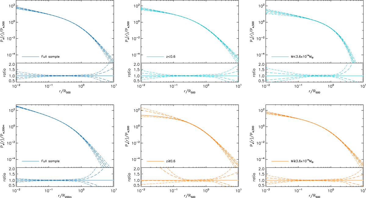
Fig. E.1.

image

Download original image

Best fitting pressure profiles in real space (solid lines) and associated 68% (dashed lines) and 95% (dashed dotted lines) C.L. envelopes. From left to right and top to bottom: full sample scaled in θ500, low redshift subsample, low mass subsample, full sample scaled in θ200m, high redshift subsample, high mass subsample.

Current usage metrics show cumulative count of Article Views (full-text article views including HTML views, PDF and ePub downloads, according to the available data) and Abstracts Views on Vision4Press platform.

Data correspond to usage on the plateform after 2015. The current usage metrics is available 48-96 hours after online publication and is updated daily on week days.

Initial download of the metrics may take a while.