Fig. 4.

Download original image
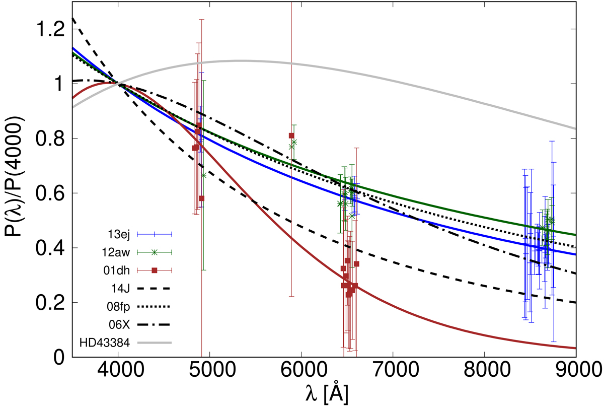
Wavelength dependence of the ISP (normalized to the polarization at 4000 Å) toward SN 2013ej, SN 2012aw, and SN 2001dh (colored points) with their Serkowski law best fits (colored lines). For comparison, the data of three Type Ia SNe (SN 2014J, SN 2008fp, and SN 2006X; Patat et al. 2015) and a Galactic star (HD 43384; Cikota et al. 2018) are also plotted.
Current usage metrics show cumulative count of Article Views (full-text article views including HTML views, PDF and ePub downloads, according to the available data) and Abstracts Views on Vision4Press platform.
Data correspond to usage on the plateform after 2015. The current usage metrics is available 48-96 hours after online publication and is updated daily on week days.
Initial download of the metrics may take a while.