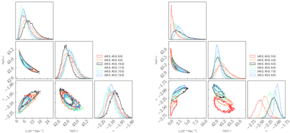
Fig. 11.

Download original image
Correlations between three Schechter’s best-fit parameters for different luminosity bins. The tuples denote the lower and upper limit of the luminosity range with respect to the number of the bin. Contours are 68% confidence levels obtained from the Schechter’s fitting. Results are shown for 2.9 < z < 6.7 (left) and 4.0 < z < 5.0 (right).
Current usage metrics show cumulative count of Article Views (full-text article views including HTML views, PDF and ePub downloads, according to the available data) and Abstracts Views on Vision4Press platform.
Data correspond to usage on the plateform after 2015. The current usage metrics is available 48-96 hours after online publication and is updated daily on week days.
Initial download of the metrics may take a while.