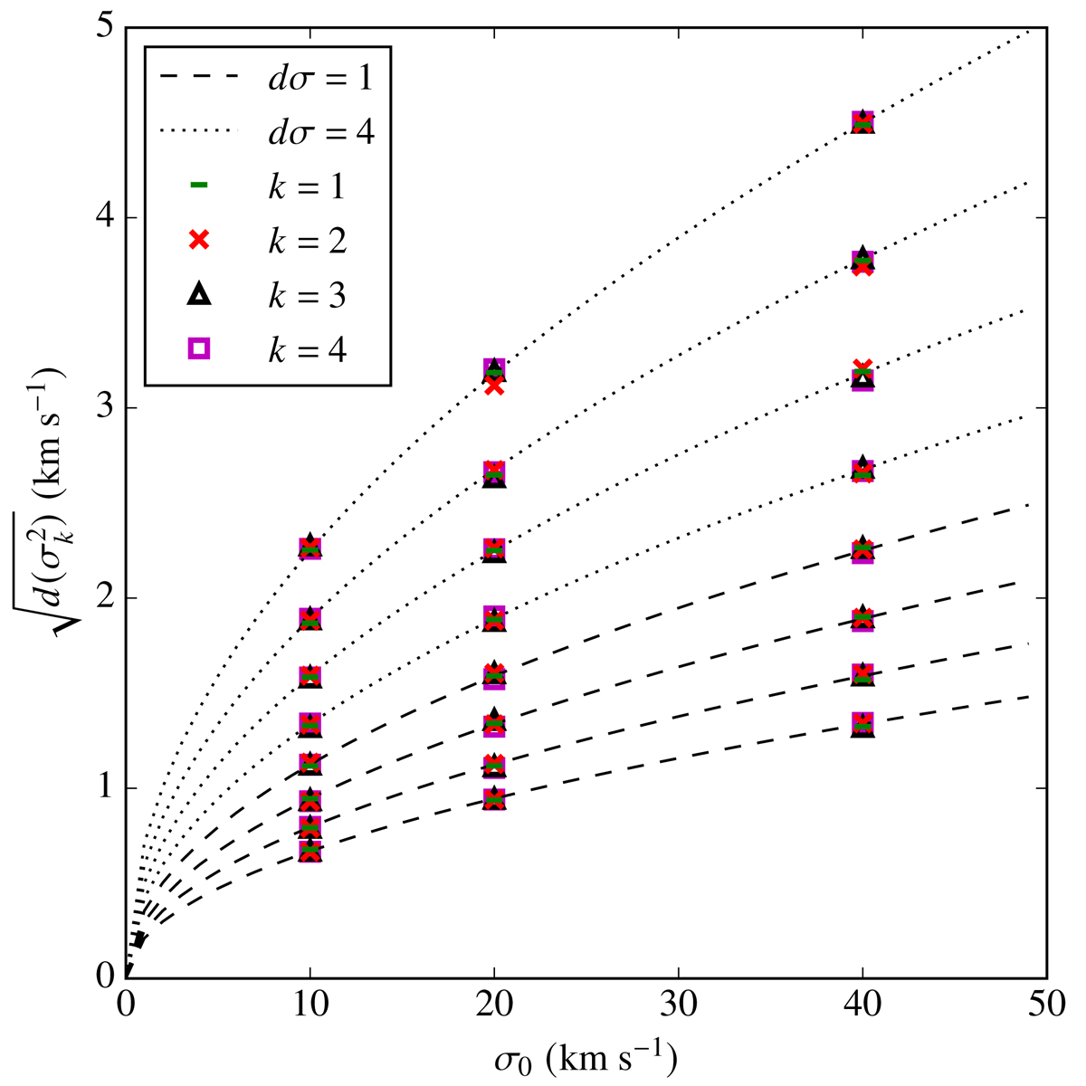
Fig. A.1.

Download original image
Square root of the noise on the squared velocity dispersion amplitude for orders k = 1 to 4 of the FFT as a function of σ0 for two distinct values of dσ and various number of points N in the FFT. The curves correspond to Eq. A.5 with dσ = 1 km s−1 (dashed) and dσ = 4 km s−1 (dotted), each corresponding to a different value of N (from top to bottom: 1000, 2000, 4000 and 8000). Coloured symbols correspond to different orders measured on toy models. The similar behaviour of orders leads to superposed points.
Current usage metrics show cumulative count of Article Views (full-text article views including HTML views, PDF and ePub downloads, according to the available data) and Abstracts Views on Vision4Press platform.
Data correspond to usage on the plateform after 2015. The current usage metrics is available 48-96 hours after online publication and is updated daily on week days.
Initial download of the metrics may take a while.