Fig. D.1.

Download original image
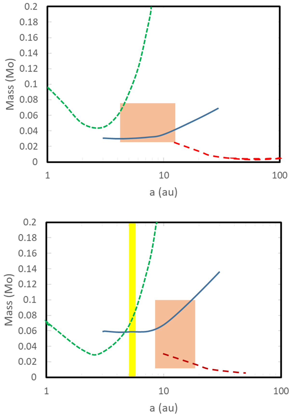
Upper panel: Comparison of the detection (upper) limit in mass as a function of separation for companions of HIP 62058 from data in the BEAST HCI (red long dashed line), the upper limit given by the lack of significant RUWE (green short dashed line) and the mass of the object responsible of the PMa as given by Kervella et al. (2022; blue solid line). Bottom panel: the same for HIP 64053 from data in the BEAST HCI (red long dashed line), the upper limit given by the lack of significant RUWE (green short dashed line) and the mass of the object responsible of the PMa as given by Kervella et al. (2022). The brown area in both panels is the region compatible with all constraints from our analysis. The orange shadowed area in the bottom panel marks the position of the warm debris disk (Ballering et al. 2017).
Current usage metrics show cumulative count of Article Views (full-text article views including HTML views, PDF and ePub downloads, according to the available data) and Abstracts Views on Vision4Press platform.
Data correspond to usage on the plateform after 2015. The current usage metrics is available 48-96 hours after online publication and is updated daily on week days.
Initial download of the metrics may take a while.