Fig. 2.

Download original image
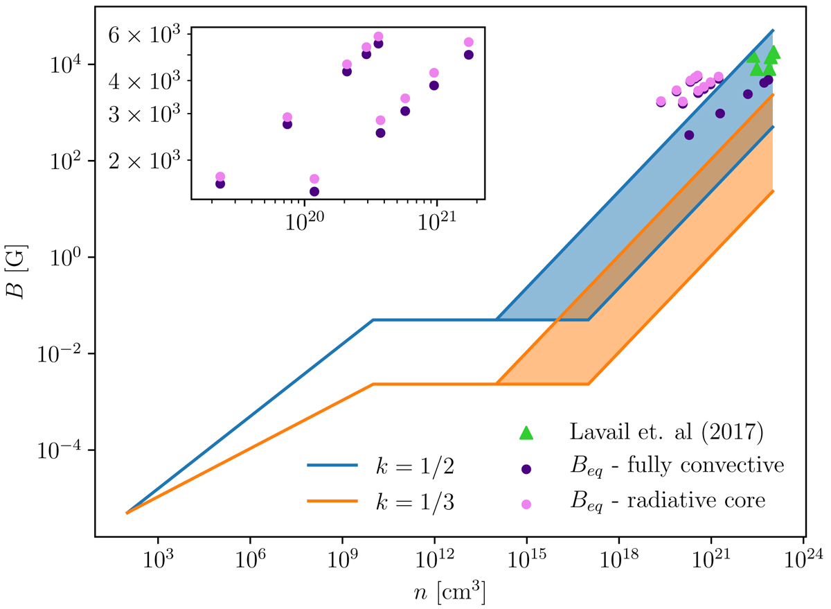
Magnetic field strength as a function of the number density. The blue and orange line indicate the magnetic field strength – density relation expected from gravitational collapse for the cases of k = 1/2 and k = 1/3 based on Eq. (1). Ambipolar diffusion is assumed to set in at a density of 1010 cm−3, while recoupling is assumed to occur at densities of 1014 − 1017 cm−3 following Nakano (1988). We subsequently assume an approximately spherical contraction with B ∝ n2/3. The indigo dots show the equipartition field strength for fully convective models, the violet dots for models with a radiative core. Green triangles are surface magnetic field strength observed in intermediate-mass T Tauri stars from the sample of Lavail et al. (2017).
Current usage metrics show cumulative count of Article Views (full-text article views including HTML views, PDF and ePub downloads, according to the available data) and Abstracts Views on Vision4Press platform.
Data correspond to usage on the plateform after 2015. The current usage metrics is available 48-96 hours after online publication and is updated daily on week days.
Initial download of the metrics may take a while.