Fig. 1.

Download original image
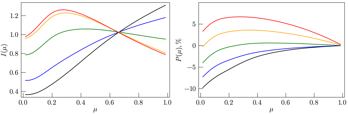
Intensity of the emergent radiation (left) and the PD (right) as functions of the cosine of the zenith angle. The atmosphere parameters are τT = 1.0, electron temperature Te = 50 keV, and seed photon temperature Tbb = 1 keV. Black, blue, green, orange, and red solid lines show the model for photon energies of 2, 5, 8, 12, and 18 keV, respectively. The angular dependence of the intensity is normalized so that .
Current usage metrics show cumulative count of Article Views (full-text article views including HTML views, PDF and ePub downloads, according to the available data) and Abstracts Views on Vision4Press platform.
Data correspond to usage on the plateform after 2015. The current usage metrics is available 48-96 hours after online publication and is updated daily on week days.
Initial download of the metrics may take a while.