Open Access
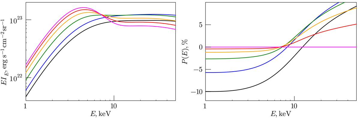
Fig. 2.

Download original image
Intensity of emergent radiation (left) and the PD (right) as functions of photon energy. The same atmosphere parameters are used as in Fig. 1. Black, blue, green, orange, red, and magenta solid lines show the model for μ = 0.0, 0.2, 0.4, 0.6, 0.8, and 1.0 respectively.
Current usage metrics show cumulative count of Article Views (full-text article views including HTML views, PDF and ePub downloads, according to the available data) and Abstracts Views on Vision4Press platform.
Data correspond to usage on the plateform after 2015. The current usage metrics is available 48-96 hours after online publication and is updated daily on week days.
Initial download of the metrics may take a while.