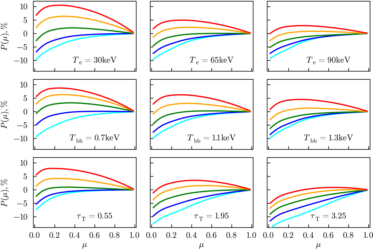
Fig. 3.

Download original image
Angular dependency of the PD for different atmosphere parameters. For each plot, we vary only one parameter (marked on the plot) while other parameters are from the fiducial set (τT = 1, Te = 50 keV, Tbb = 1 keV). Cyan, blue, green, orange, and red solid lines show the PD on photon energies of 2, 5, 8, 12, and 18 keV, respectively.
Current usage metrics show cumulative count of Article Views (full-text article views including HTML views, PDF and ePub downloads, according to the available data) and Abstracts Views on Vision4Press platform.
Data correspond to usage on the plateform after 2015. The current usage metrics is available 48-96 hours after online publication and is updated daily on week days.
Initial download of the metrics may take a while.