Open Access
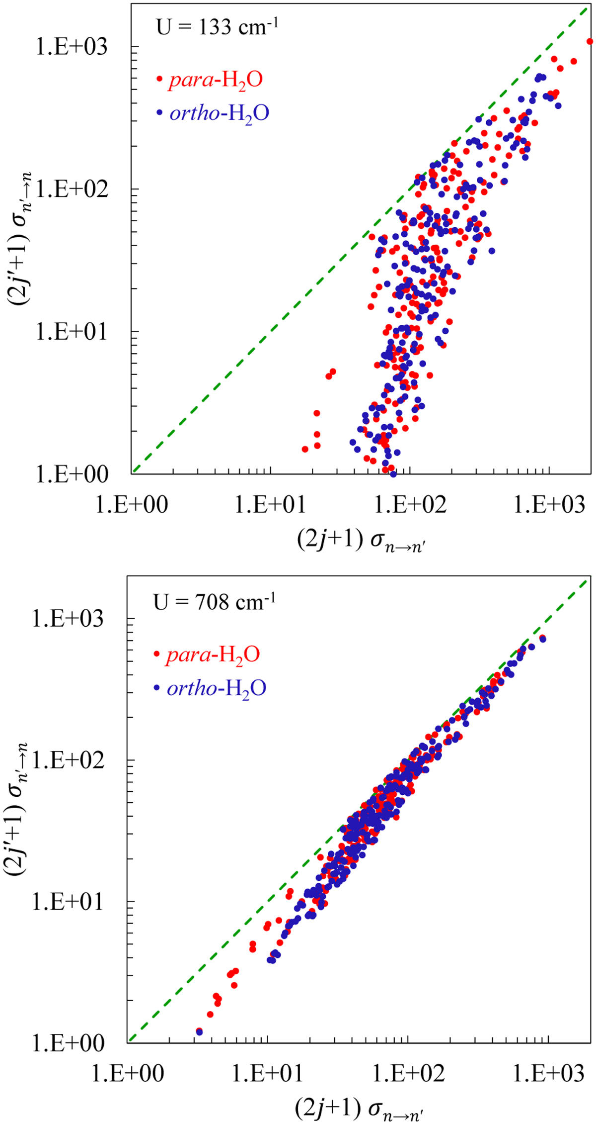
Fig. 1

Download original image
Comparison of H2O + H2O collision cross sections (the units are Å2) for the excitation and quenching directions of 441 state-to-state transitions at two values of collision energy U. The departure of data-points from the diagonal line (dashed) signifies the deviation from the principle of microscopic reversibility.
Current usage metrics show cumulative count of Article Views (full-text article views including HTML views, PDF and ePub downloads, according to the available data) and Abstracts Views on Vision4Press platform.
Data correspond to usage on the plateform after 2015. The current usage metrics is available 48-96 hours after online publication and is updated daily on week days.
Initial download of the metrics may take a while.