Fig. 1.

Download original image
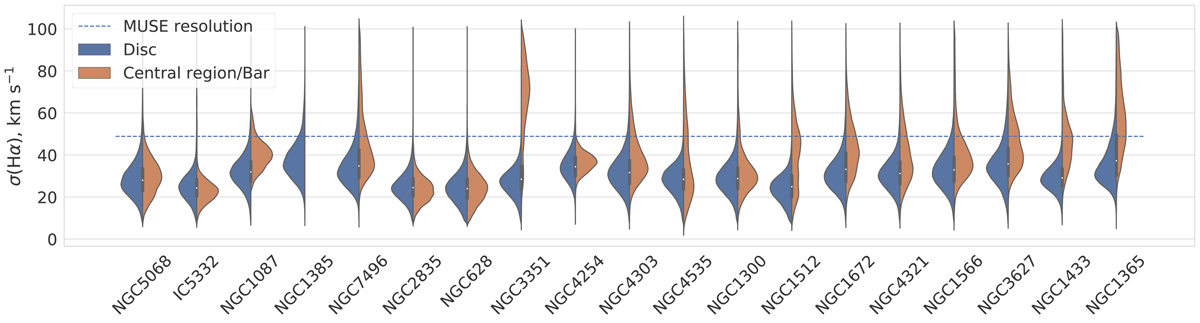
Statistics of the intrinsic Hα velocity dispersion in PHANGS-MUSE galaxies (sorted by their stellar mass, see Table 1) for different environments (the blue colour is for the disc, and orange is for the central regions and bars, according to the classification from Querejeta et al. 2021). Pixels with a S/N < 30 in Hα are excluded. The blue dashed line corresponds to the mean MUSE spectral resolution (velocity dispersion) at the wavelength of Hα. The values of σ(Hα) were corrected for instrumental broadening by subtracting, in quadrature, the MUSE instrumental velocity dispersion for each galaxy.
Current usage metrics show cumulative count of Article Views (full-text article views including HTML views, PDF and ePub downloads, according to the available data) and Abstracts Views on Vision4Press platform.
Data correspond to usage on the plateform after 2015. The current usage metrics is available 48-96 hours after online publication and is updated daily on week days.
Initial download of the metrics may take a while.