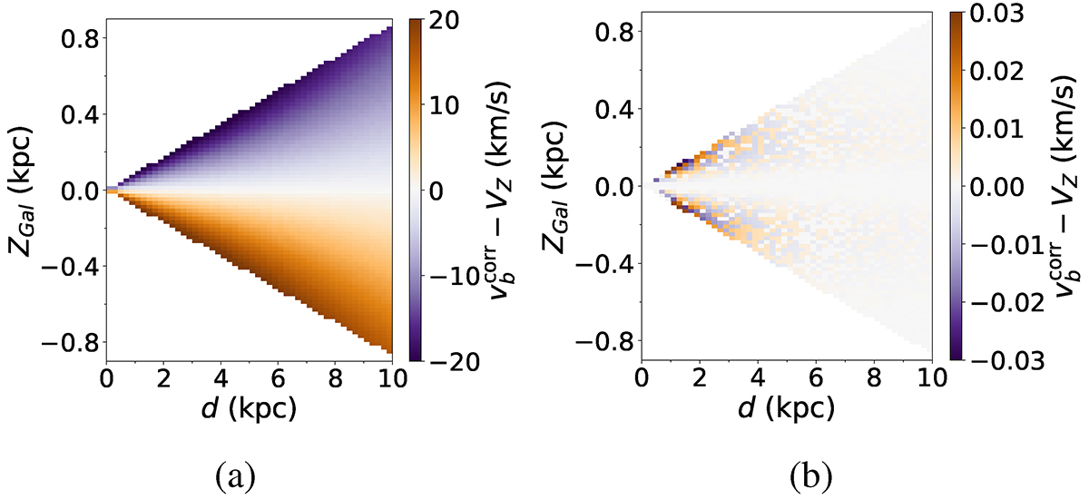
Fig. D.2.

Download original image
Vertical Galactic coordinate as a function of heliocentric distance, colour-coded by the median of the modelled difference − VZ. Panel (a) shows the slice between 60° ≤l ≤ 75° while panel (b) contains grid points with 172.5° ≤l ≤ 187.5°. In both cases, the size of the bins is 0.2 kpc in d and 20 pc in ZGal. Notice that both colour scales have very different ranges.
Current usage metrics show cumulative count of Article Views (full-text article views including HTML views, PDF and ePub downloads, according to the available data) and Abstracts Views on Vision4Press platform.
Data correspond to usage on the plateform after 2015. The current usage metrics is available 48-96 hours after online publication and is updated daily on week days.
Initial download of the metrics may take a while.