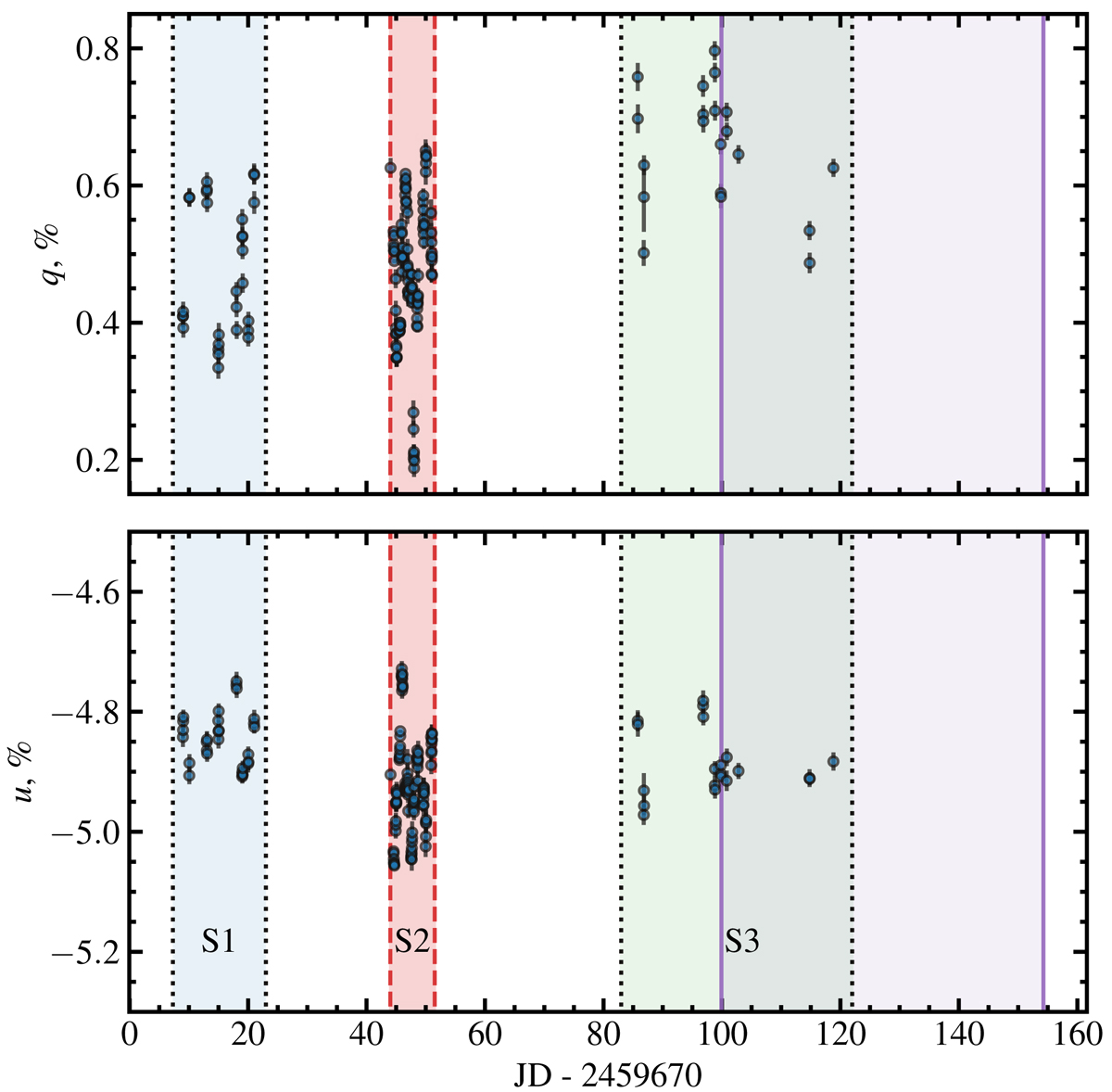
Fig. 1.

Download original image
Observed normalized Stokes parameters for Cyg X-1 in the B band. The vertical dotted black lines limit the observational seasons S1 and S3. The two vertical dashed red lines show the start and end of the IXPE campaign on 2022 May 15–21 (season 2). The vertical solid purple lines show the start and end of the TESS observations.
Current usage metrics show cumulative count of Article Views (full-text article views including HTML views, PDF and ePub downloads, according to the available data) and Abstracts Views on Vision4Press platform.
Data correspond to usage on the plateform after 2015. The current usage metrics is available 48-96 hours after online publication and is updated daily on week days.
Initial download of the metrics may take a while.