Fig. 12.

Download original image
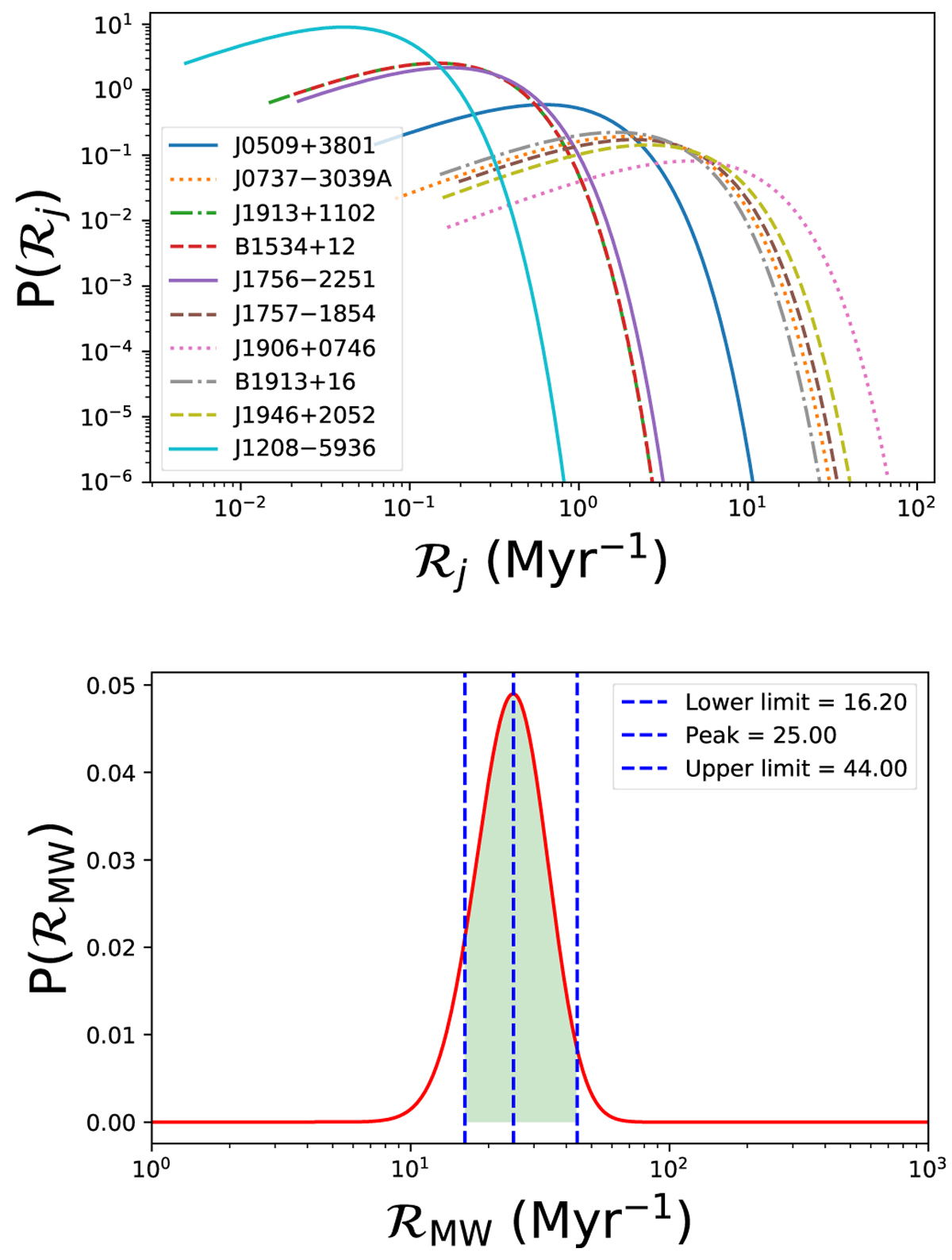
Updated probabilities distribution of the merger rates after the inclusion of J1208−5936 and the MMGPS-L survey. Top: individual contributions from each DNS population, derived from the values in Table 4 and Eq. (13). The 90% credible intervals are quoted in Table 4. Bottom: galactic merger rate probability distribution from the convolution of individual DNS distributions, with a highlighted 90% credible interval.
Current usage metrics show cumulative count of Article Views (full-text article views including HTML views, PDF and ePub downloads, according to the available data) and Abstracts Views on Vision4Press platform.
Data correspond to usage on the plateform after 2015. The current usage metrics is available 48-96 hours after online publication and is updated daily on week days.
Initial download of the metrics may take a while.