Fig. 10.

Download original image
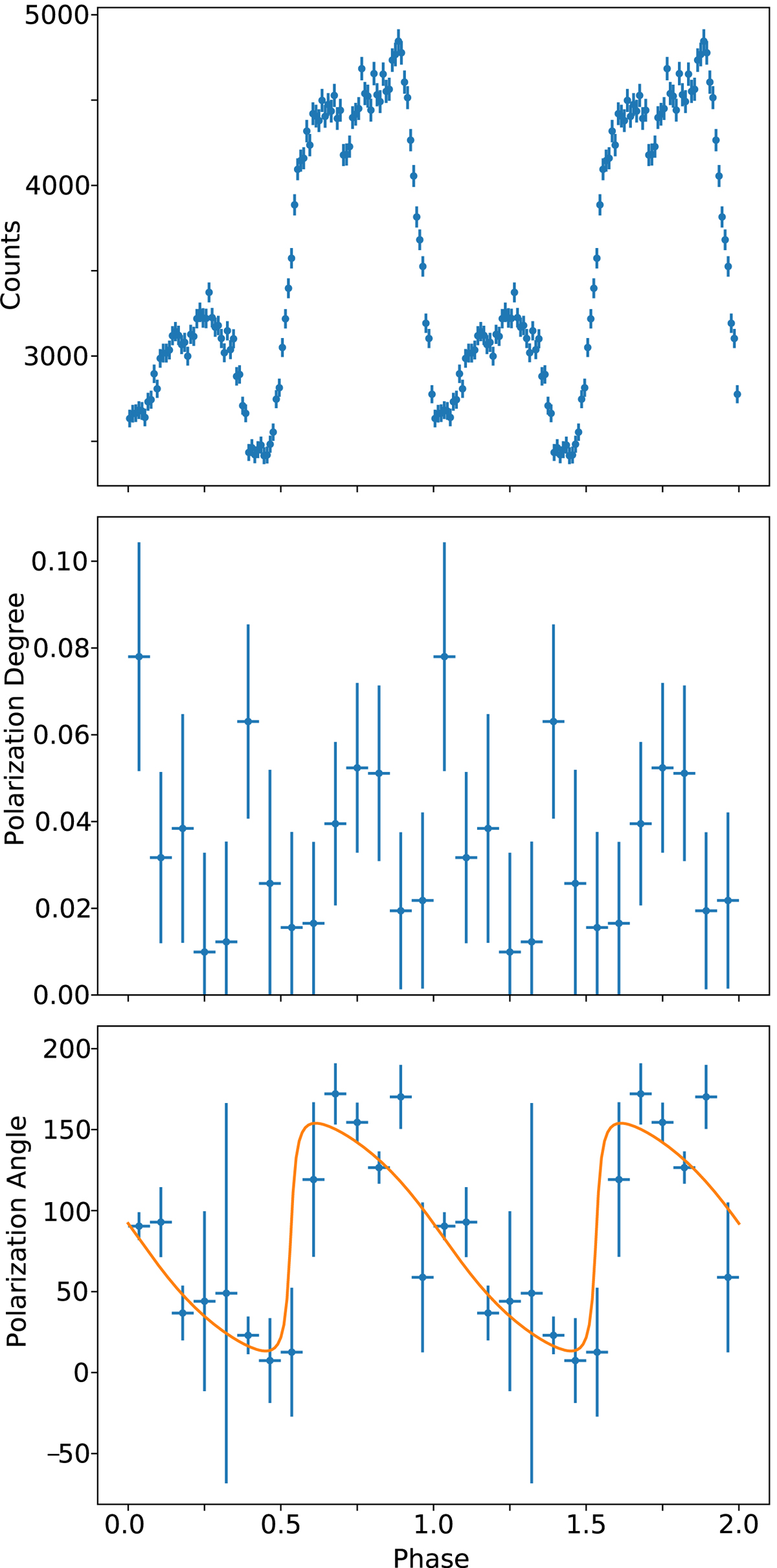
Pulse profile, PD, and PA obtained from the maximum-likelihood analysis (González-Caniulef et al. 2023). The error bars give the most likely values of PD and PA with ΔlnL = 0.5 (1σ) confidence regions. The orange curve at the bottom panel shows the best-fit RVM solution with the following parameters ip = 129°, θ = 47°, χp = 84°, ϕ0/(2π) = 0.03.
Current usage metrics show cumulative count of Article Views (full-text article views including HTML views, PDF and ePub downloads, according to the available data) and Abstracts Views on Vision4Press platform.
Data correspond to usage on the plateform after 2015. The current usage metrics is available 48-96 hours after online publication and is updated daily on week days.
Initial download of the metrics may take a while.