Fig. 8.

Download original image
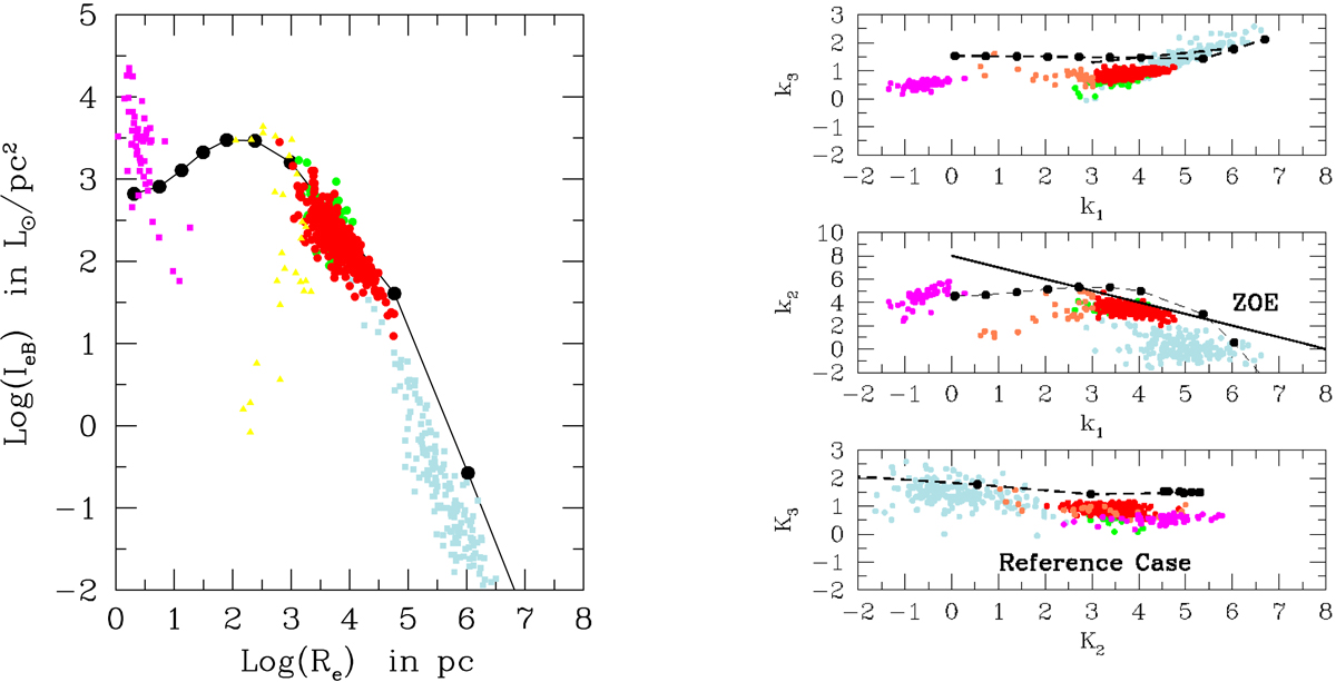
Combined relationship for GLO and GAL models together. Left panel: Ie-Re plane in which the combined relation is shown against the observational data of Burstein et al. (1997). Right panel: corresponding 3DKS for the same models. In both panels, the meaning of the symbols is the same as in previous figures. No particular remarks are to be made here, aside from noting a general agreement between data and theory. The kind of SFH we have adopted seems to be compatible with the overall observational situation.
Current usage metrics show cumulative count of Article Views (full-text article views including HTML views, PDF and ePub downloads, according to the available data) and Abstracts Views on Vision4Press platform.
Data correspond to usage on the plateform after 2015. The current usage metrics is available 48-96 hours after online publication and is updated daily on week days.
Initial download of the metrics may take a while.