Fig. 1.

Download original image
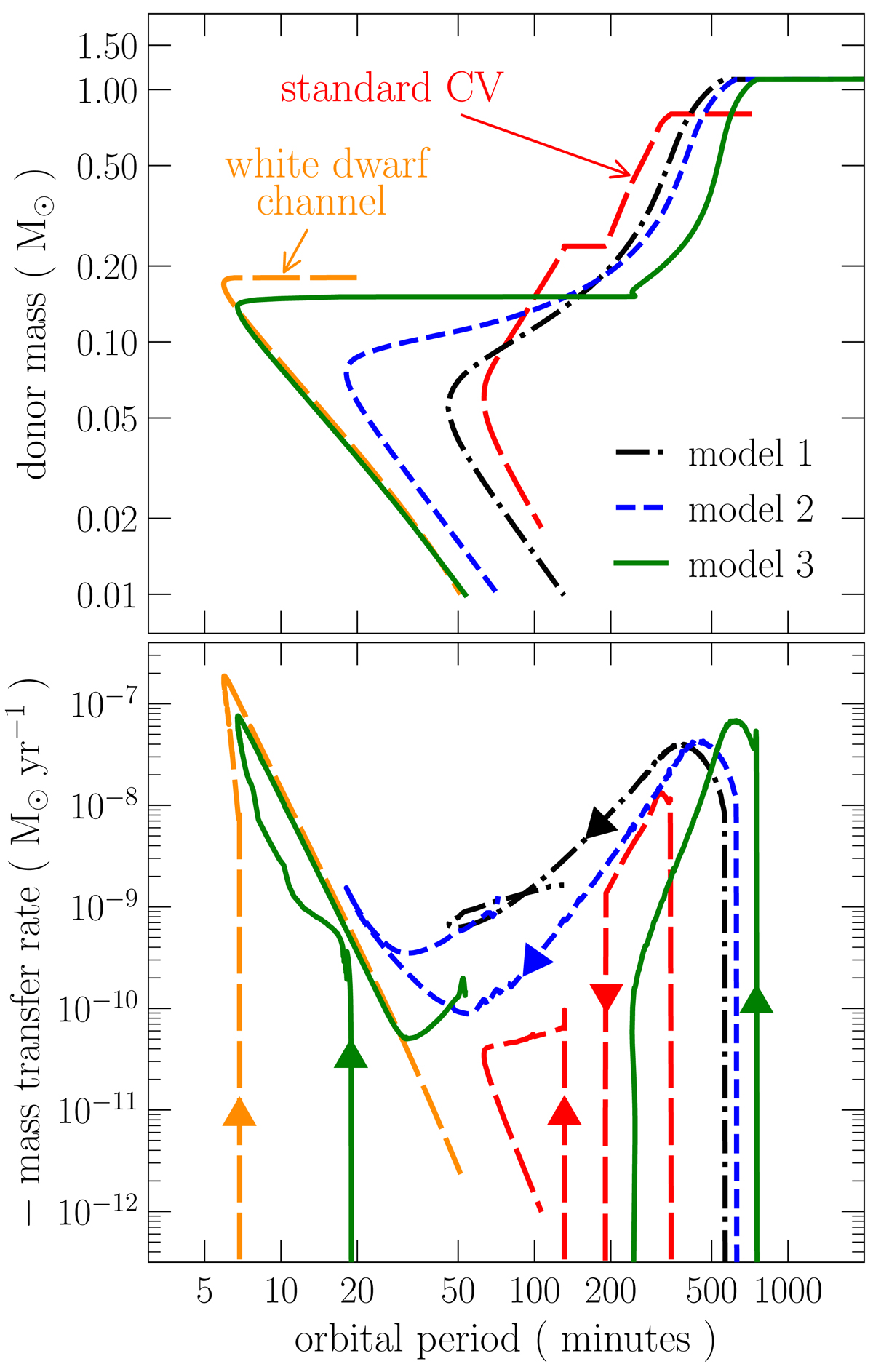
Evolution of donor mass (top panel) and mass transfer rate (bottom panel) as a function of orbital period obtained adopting the CARB model for magnetic braking. We show the evolution of three illustrative CVs with initial post-CE white dwarf and donor star masses of 0.8 and 1.1 M⊙, respectively. The initial post-CE orbital periods and donor helium core mass at the onset of mass transfer are different in each evolutionary track and are given by the following values: model 1: 2.20 d and ≈0.043 M⊙ (dot-dashed black lines), model 2: 2.34 d and ≈0.068 M⊙ (short-dashed blue lines), and model 3: 2.60 d and ≈0.105 M⊙ (solid green lines). On top of that, we also show an example of standard CV evolutionary sequence (long-dashed red lines, from Belloni & Schreiber 2023) and an example of evolutionary sequence for the white dwarf channel (long-dashed orange lines, from Wong & Bildsten 2021). The arrows in the bottom panel were added for clarity and indicate the direction of the evolution. The tracks for which the orbital period minimum is below 20 min correspond to CV evolution leading to the formation of AM CVn binaries. Model 3 represents a mixed channel in which a CV leads to a close detached double white dwarf binary that latter becomes an AM CVn binary. The final evolution of this system is similar to the white dwarf channel for AM CVn binary formation. See text for more details.
Current usage metrics show cumulative count of Article Views (full-text article views including HTML views, PDF and ePub downloads, according to the available data) and Abstracts Views on Vision4Press platform.
Data correspond to usage on the plateform after 2015. The current usage metrics is available 48-96 hours after online publication and is updated daily on week days.
Initial download of the metrics may take a while.