Fig. 3.

Download original image
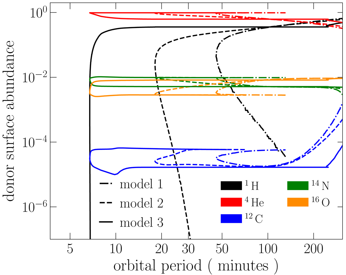
Evolution around the orbital period minimum of the donor surface abundances (colour coded by elements) for the three models shown in Fig. 1, namely model 1 (dot-dashed lines), model 2 (short-dashed lines) and model 3 (solid lines). The hydrogen abundance quickly vanishes for model 3, which is similar to the white dwarf channel, when the system reaches the orbital period minimum. On the other hand, for model 2, the hydrogen drops to an undetectable level during early post-orbital-period-minimum evolution (between ≈20 and ≈30 min). Finally, the surface hydrogen abundance in model 1 remains high enough to be detected throughout its evolution. Meanwhile helium abundance is enhanced as the three models approach the orbital period minimum, and together with the other elements, quickly evolves towards equilibrium afterwards. That said, model 1 is a typical example of how CVs evolve to He CVs. More importantly, models 2 and 3 clearly illustrate that hydrogen is not necessarily visible in CV descendants, irrespective of the present-day orbital period. In addition, the surface abundances predicted for the two pathways leading to AM CVn binaries, that is, with (model 3) and without (model 2) a detached phase, are rather similar after hydrogen vanishes suggesting that it is very hard to distinguish between the white dwarf channel and the CV channel with respect to abundance ratios.
Current usage metrics show cumulative count of Article Views (full-text article views including HTML views, PDF and ePub downloads, according to the available data) and Abstracts Views on Vision4Press platform.
Data correspond to usage on the plateform after 2015. The current usage metrics is available 48-96 hours after online publication and is updated daily on week days.
Initial download of the metrics may take a while.