Fig. 11

Download original image
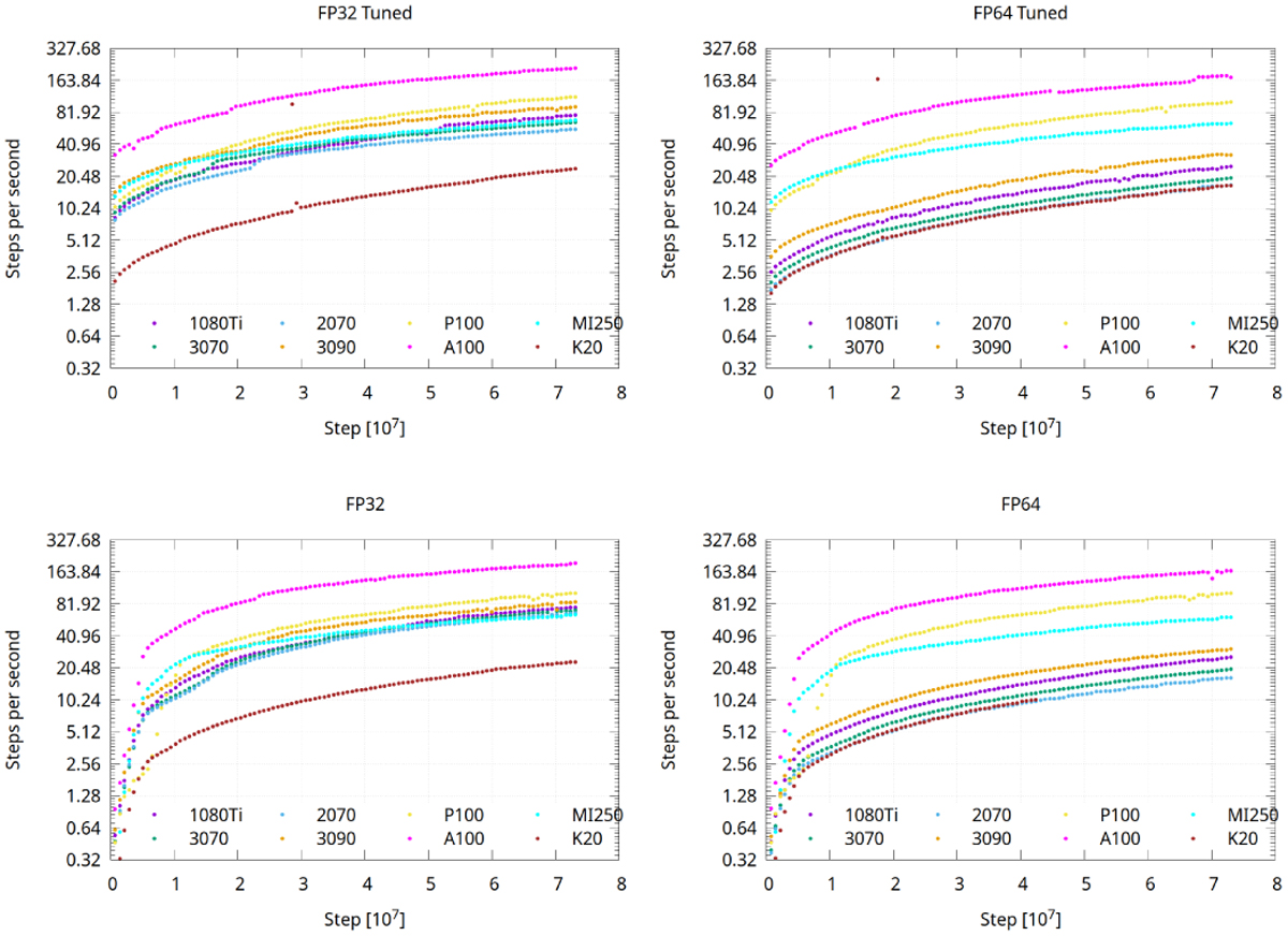
Number of steps per second for various GPUs. The top two panels are for the tuned simulations, while the bottom two panels are for untuned simulations. There is a large difference between sims with FP64 and FP32 precision forces on consumer-grade cards (3000, 2000 and 1000 series). The tuning speeds up the first 10–20 million steps when there are many close encounters.
Current usage metrics show cumulative count of Article Views (full-text article views including HTML views, PDF and ePub downloads, according to the available data) and Abstracts Views on Vision4Press platform.
Data correspond to usage on the plateform after 2015. The current usage metrics is available 48-96 hours after online publication and is updated daily on week days.
Initial download of the metrics may take a while.