Fig. 1

Download original image
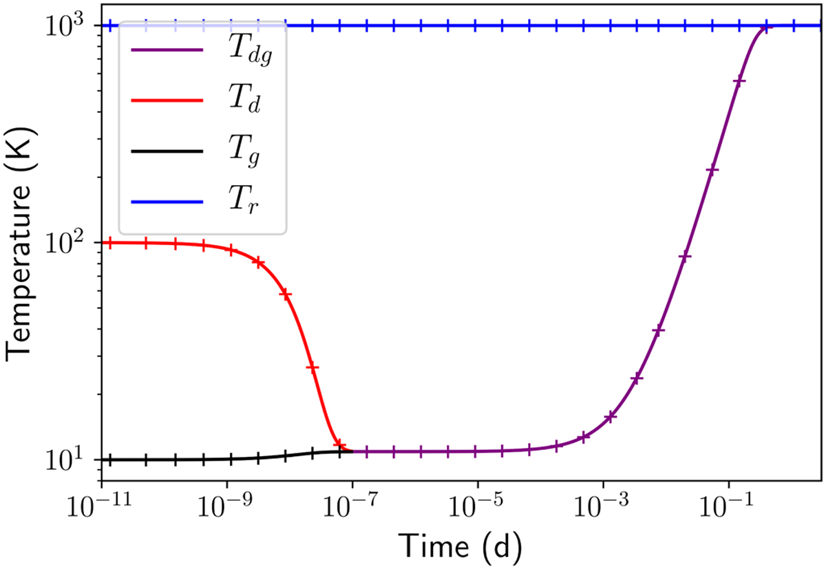
0D test of our three-temperature scheme, for which we set the dust-gas stopping time ts = 10−9t0 = 8 × 10−9 d and the opacity κd = 3.9 cm2g−1. Pluses indicate numerical results, while solid lines indicate analytical solutions taken from Eqs. (21) (red, black) and (24) (purple). Because the system is dominated by radiation energy, the radiation temperature (blue) is nearly constant throughout the system’s evolution.
Current usage metrics show cumulative count of Article Views (full-text article views including HTML views, PDF and ePub downloads, according to the available data) and Abstracts Views on Vision4Press platform.
Data correspond to usage on the plateform after 2015. The current usage metrics is available 48-96 hours after online publication and is updated daily on week days.
Initial download of the metrics may take a while.