Fig. 2

Download original image
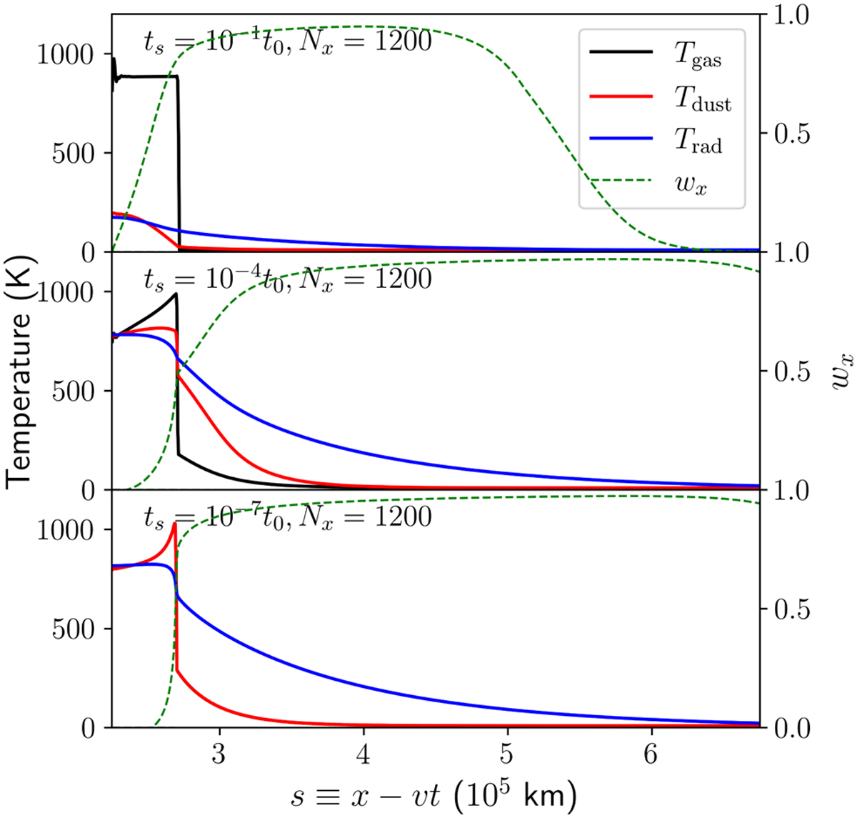
Temperature profiles in the dusty radiative shock test at t = 0.054t0 = 3.75 × 104 sec, for a variety of stopping times. For ts = 10−1, the gas temperature is that of a standard hydrodynamic shock, with only weak losses to dust and radiation; for ts = 10−7, Td, and Tg have come into equilibrium, and they (along with wx and Tr) match the results of the two-temperature radiative shock tests in Sect. 4.1 of (Melon Fuksman et al. 2021). We note that the signed “reduced flux” of wx = Fx/Er is denoted as f in their work.
Current usage metrics show cumulative count of Article Views (full-text article views including HTML views, PDF and ePub downloads, according to the available data) and Abstracts Views on Vision4Press platform.
Data correspond to usage on the plateform after 2015. The current usage metrics is available 48-96 hours after online publication and is updated daily on week days.
Initial download of the metrics may take a while.