Fig. 7

Download original image
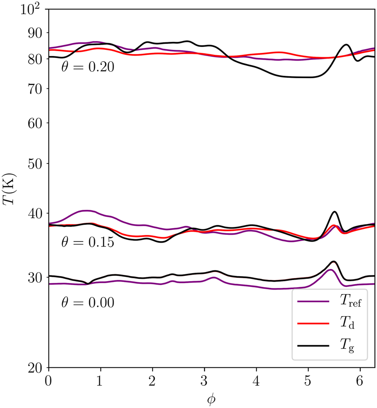
Temperatures in our three-temperature realistic (Tgas, Tdust) and reference (Tref) simulations, taken at the same cuts as in Fig. 6. In the midplane, where coupling times are short, Tgas = Tdust, but in the disk atmosphere, where coupling is weaker, there is a noticeable (~10%) discrepancy between the two: Tdust reflects the stellar irradiation field, while Tgas is driven by the PdV work done by the planetary spiral.
Current usage metrics show cumulative count of Article Views (full-text article views including HTML views, PDF and ePub downloads, according to the available data) and Abstracts Views on Vision4Press platform.
Data correspond to usage on the plateform after 2015. The current usage metrics is available 48-96 hours after online publication and is updated daily on week days.
Initial download of the metrics may take a while.