Fig. 2.

Download original image
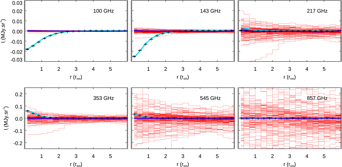
Stacked radial profiles of the SZ signal registered toward CHEX-MATE clusters by the Planck HFI instrument. These profiles radially average HFI frequency maps that were first high-pass filtered and show details of an angular resolution higher than 1 sq. deg. As detailed in Sect. 4, the resulting SZ signal (black points) was corrected for a linear combination of CMB and Galactic thermal dust templates. The dark blue and light blue lines depict the arithmetical mean of CMB and thermal SZ templates that were fit to the data set for each individual cluster, respectively. The red lines depict the individual cluster templates associated with Galactic thermal dust.
Current usage metrics show cumulative count of Article Views (full-text article views including HTML views, PDF and ePub downloads, according to the available data) and Abstracts Views on Vision4Press platform.
Data correspond to usage on the plateform after 2015. The current usage metrics is available 48-96 hours after online publication and is updated daily on week days.
Initial download of the metrics may take a while.