Fig. 3

Download original image
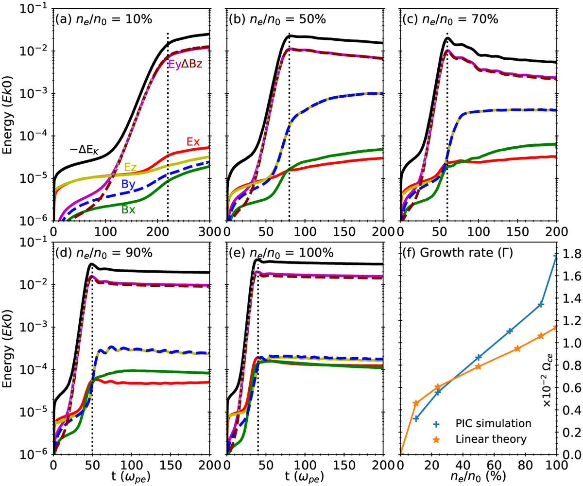
Energy proflies and growth rates for different simulation cases. Panels a–e: energy profiles of the six fluctuated field components for the cases with ne/n0 = 0.1, 0.5, 0.7, 0.9, and 1.0. The energies are normalized to the respective initial kinetic energy of total electrons of each case. Panel f presents the growth rates with different density ratios obtained by the PIC simulations (blue) and the linear kinetic theory (orange).
Current usage metrics show cumulative count of Article Views (full-text article views including HTML views, PDF and ePub downloads, according to the available data) and Abstracts Views on Vision4Press platform.
Data correspond to usage on the plateform after 2015. The current usage metrics is available 48-96 hours after online publication and is updated daily on week days.
Initial download of the metrics may take a while.