Fig. 4.

Download original image
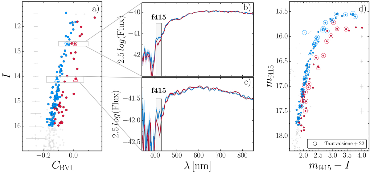
Effectiveness of the f415 photometric filter. Panel a: I vs. CBVI CMD, as in Fig. 3a. Stars are colored azure and red according to the classification described in Sect. 3, i.e., canonical and anomalous. Gray errorbars represent the average photometric uncertainties determined in different magnitude bins. Panels b and c: externally calibrated Gaia XP spectra of two couples of reference canonical and anomalous stars, indicated with pentagons and triangles in panel a. The gray shaded rectangular regions indicate the f41525 filter, designed to identify canonical and anomalous stars. Fluxes are expresses in units of Wm−2 nm−1. Azure and red shaded regions indicate flux uncertainties. Panel d: mf41525 vs. mf41525 − I, where mf41525 is the magnitude computed by convolving externally calibrated spectra with the f41525 filter shown in panel a as in Eq. (5). Reference canonical and anomalous stars are enclosed by empty pentagons and triangles, while metal-poor and metal-rich stars from Tautvaišienė et al. (2022) are marked with empty circles.
Current usage metrics show cumulative count of Article Views (full-text article views including HTML views, PDF and ePub downloads, according to the available data) and Abstracts Views on Vision4Press platform.
Data correspond to usage on the plateform after 2015. The current usage metrics is available 48-96 hours after online publication and is updated daily on week days.
Initial download of the metrics may take a while.