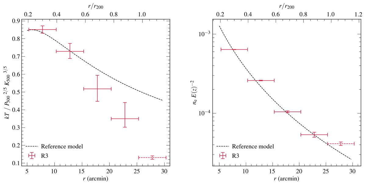
Fig. 13.

Download original image
Self-similarly scaled profiles of measured and modeled properties of Abell 1795. The reference models represent an ICM where the universal pressure profile from the Planck Collaboration Int. V (2013) and the entropy profile of Pratt et al. (2010) apply. We note that the outermost measurements are not reliable due to the large uncertainties introduced during deprojection. Left: lower-than-expected temperature in the outskirts of Abell 1795 indicates the influence of complex dynamics in the physics of the outskirts. This may support theories suggesting electron–ion non-equilibrium and non-thermal pressure support to be at play in the cluster outskirts. Right: outskirts of Abell 1795 show no excess in the electron number density, implying the successful resolution of point sources and the absence of resolved or unresolved clumping in the ICM gas.
Current usage metrics show cumulative count of Article Views (full-text article views including HTML views, PDF and ePub downloads, according to the available data) and Abstracts Views on Vision4Press platform.
Data correspond to usage on the plateform after 2015. The current usage metrics is available 48-96 hours after online publication and is updated daily on week days.
Initial download of the metrics may take a while.