Fig. 3

Download original image
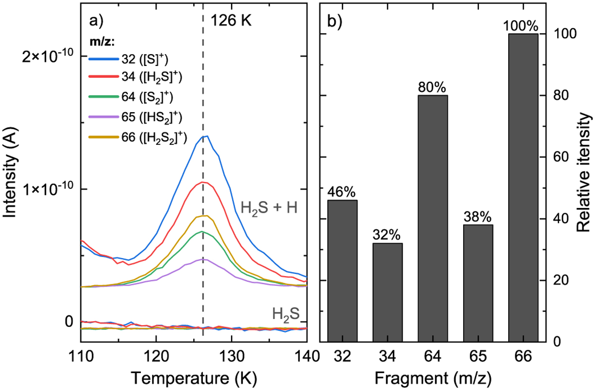
TPD-QMS results for the detections of H2S2. Panel a: TPD-QMS spectra of m/z = 32 (blue), 34 (red), 64 (green), 65 (purple), and 66 (yellow) after deposition of apure H2S ice and codeposition of H2S + H with analogous experimental conditions. Spectra are offset for clarity and shown in the temperature range relevant to H2S2 thermal desorption. Panel b: mass fragmentation pattern of H2S2 generated by 70 eV electron ionization as measured in this work.
Current usage metrics show cumulative count of Article Views (full-text article views including HTML views, PDF and ePub downloads, according to the available data) and Abstracts Views on Vision4Press platform.
Data correspond to usage on the plateform after 2015. The current usage metrics is available 48-96 hours after online publication and is updated daily on week days.
Initial download of the metrics may take a while.