Open Access
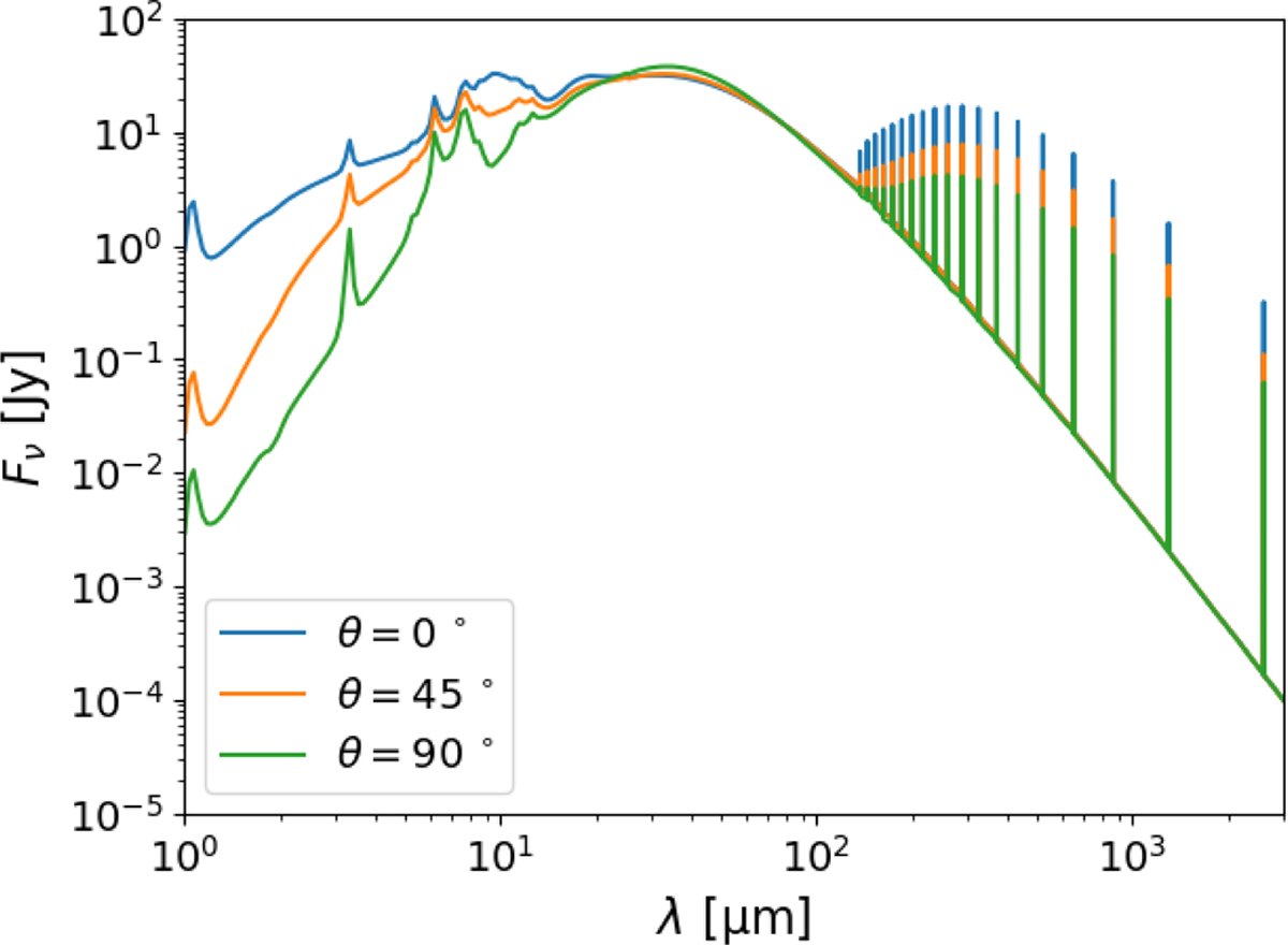
Fig. 7

Download original image
Spectral energy distributions including CO rotational lines from J = 0 to J = 19 for the AGN torus simulation. The different lines correspond to SEDs seen at different inclination angles, as indicated in the legend. The observers are located at a fiducial distance of 4.2 Mpc, and a beam size of (32 pc)2 is used.
Current usage metrics show cumulative count of Article Views (full-text article views including HTML views, PDF and ePub downloads, according to the available data) and Abstracts Views on Vision4Press platform.
Data correspond to usage on the plateform after 2015. The current usage metrics is available 48-96 hours after online publication and is updated daily on week days.
Initial download of the metrics may take a while.