Fig. 3.

Download original image
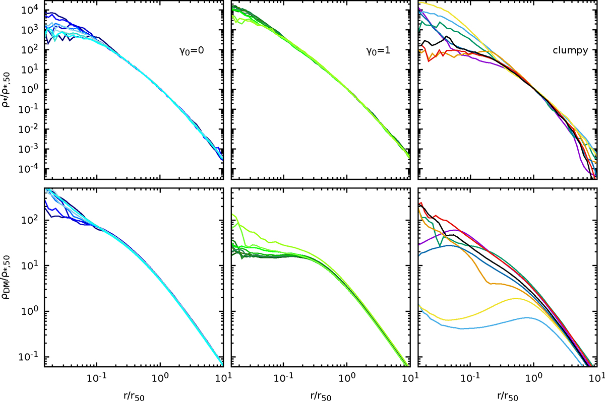
Final (t = 300tDyn) density profiles from MOND simulations (top panels) and the DM halo of the ENS (bottom panels) for cored γ0 = 0 (left), moderately cuspy γ = 1 (centre), and clumpy (right) initial conditions. The increasing initial values of the virial ratio in the models with spherical initial conditions with γ = 0 and 1 are mapped with increasingly lighter tones of blue and green, respectively. All clumpy initial conditions start with 2K0/|W|0 = 0.1.
Current usage metrics show cumulative count of Article Views (full-text article views including HTML views, PDF and ePub downloads, according to the available data) and Abstracts Views on Vision4Press platform.
Data correspond to usage on the plateform after 2015. The current usage metrics is available 48-96 hours after online publication and is updated daily on week days.
Initial download of the metrics may take a while.