Fig. A.1.

Download original image
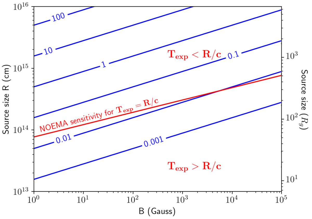
Contour plot (blue) of the radio flux density Fν (in milliJansky) in the R − BG plane following the expression of R given in Eq. 1 for a frequency of 100 GHz and a source redshift z = 0.02. The red line is the corresponding NOEMA sensitivity for an integration time equal to the source size light travel time R/c. Above this line, the required exposure time to detect a flux density Fν is lower than R/c. It is larger below. The left y scale is in centimeter units while the right y scale being in Rg units for a supermassive black hole mass of 107 M⊙.
Current usage metrics show cumulative count of Article Views (full-text article views including HTML views, PDF and ePub downloads, according to the available data) and Abstracts Views on Vision4Press platform.
Data correspond to usage on the plateform after 2015. The current usage metrics is available 48-96 hours after online publication and is updated daily on week days.
Initial download of the metrics may take a while.