Open Access
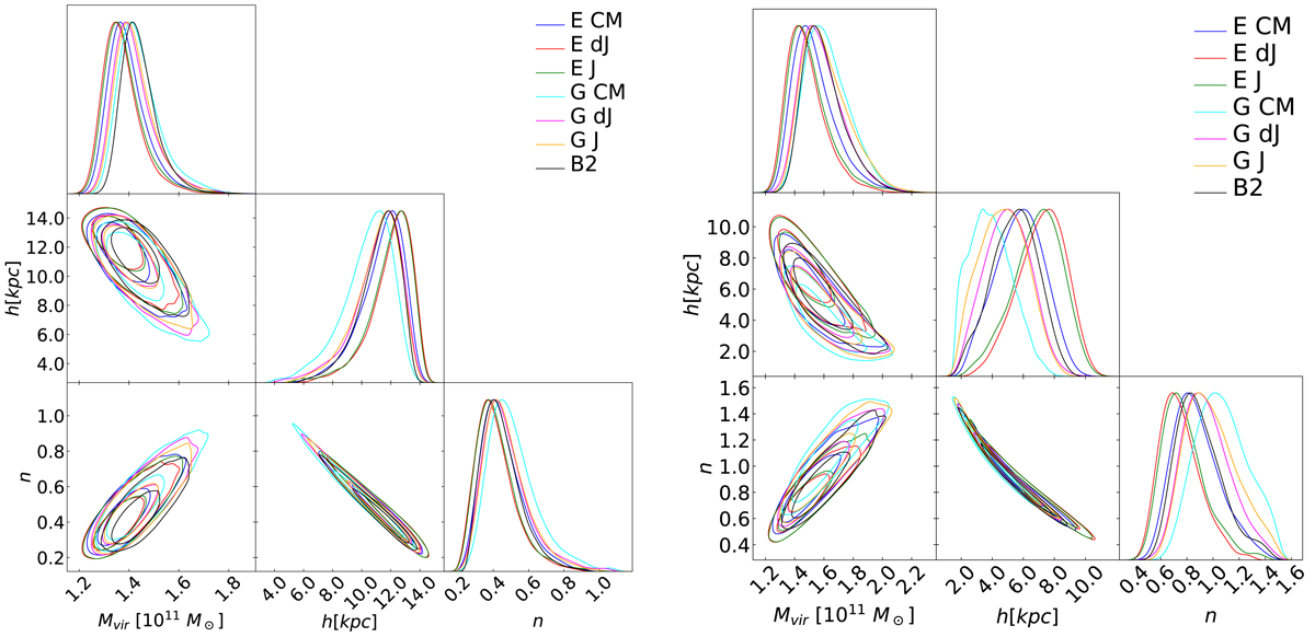
Fig. 6.

Download original image
MCMC tests of Einasto dark matter parameters with several baryonic models (represented by coloured lines) for our RC (right panel) and that of Ou et al. (2023) RC.
Current usage metrics show cumulative count of Article Views (full-text article views including HTML views, PDF and ePub downloads, according to the available data) and Abstracts Views on Vision4Press platform.
Data correspond to usage on the plateform after 2015. The current usage metrics is available 48-96 hours after online publication and is updated daily on week days.
Initial download of the metrics may take a while.