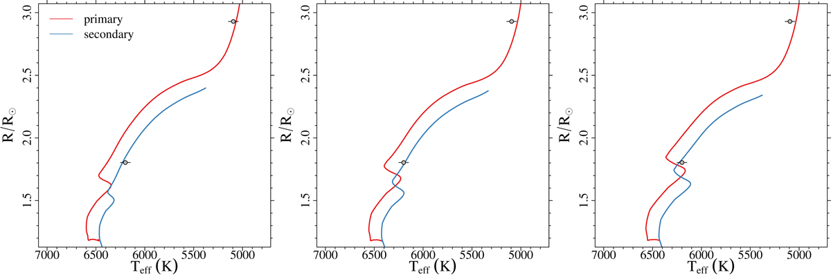
Fig. 2.

Download original image
Comparison between the observational values of effective temperature and radius of the two stars (grey circle) and the evolutionary tracks for the different solutions found in the analysis. Left: solution S1. The error bars correspond to 1σ errors, and the errors in radii are too small to see. Middle: same as in the left panel but for solution S2. Right: same as in the left panel but for solution S3.
Current usage metrics show cumulative count of Article Views (full-text article views including HTML views, PDF and ePub downloads, according to the available data) and Abstracts Views on Vision4Press platform.
Data correspond to usage on the plateform after 2015. The current usage metrics is available 48-96 hours after online publication and is updated daily on week days.
Initial download of the metrics may take a while.