Fig. 2.

Download original image
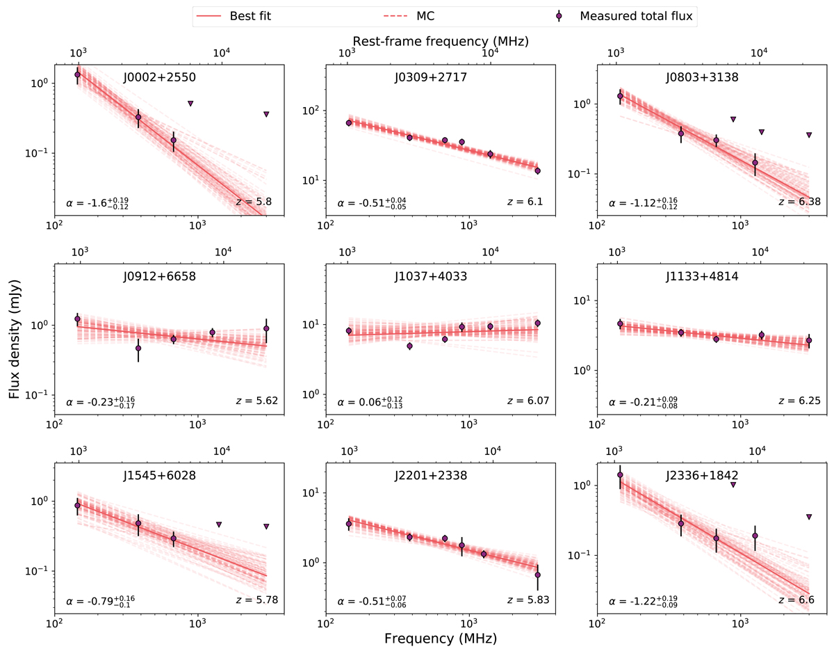
Radio spectra of our sample of nine quasars observed with GMRT and including LoTSS-DR2, RACS, FIRST, and VLASS measurements. Non-detections in the FIRST and VLASS survey are given as 3σ upper limits. Each spectrum is well described by a power law with varying spectral indices (indicated in the bottom left corner) and there is no evidence for a spectral turnover, except for J0309+2717 (see Sect. 4.2.2). The upper x-axis indicates the rest-frame frequency. The flat or negative slopes of these spectra suggest a turnover below 1 GHz in rest-frame.
Current usage metrics show cumulative count of Article Views (full-text article views including HTML views, PDF and ePub downloads, according to the available data) and Abstracts Views on Vision4Press platform.
Data correspond to usage on the plateform after 2015. The current usage metrics is available 48-96 hours after online publication and is updated daily on week days.
Initial download of the metrics may take a while.