Open Access
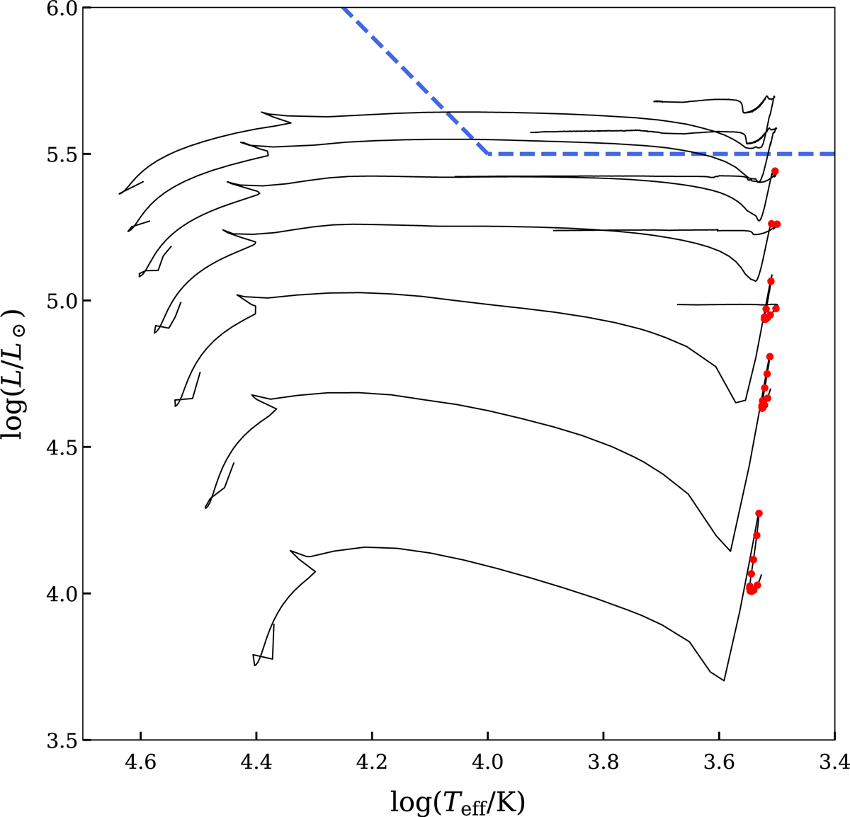
Fig. 3.

Download original image
HR diagram with dots every 0.1 decrease in central Y during core He burning. The models above 25 M⊙ have been stopped before they evolve towards the WR stages. The Humphreys-Davidson limit (from Davies & Beasor 2020) is indicated by the blue dashed line.
Current usage metrics show cumulative count of Article Views (full-text article views including HTML views, PDF and ePub downloads, according to the available data) and Abstracts Views on Vision4Press platform.
Data correspond to usage on the plateform after 2015. The current usage metrics is available 48-96 hours after online publication and is updated daily on week days.
Initial download of the metrics may take a while.