Fig. 1.

Download original image
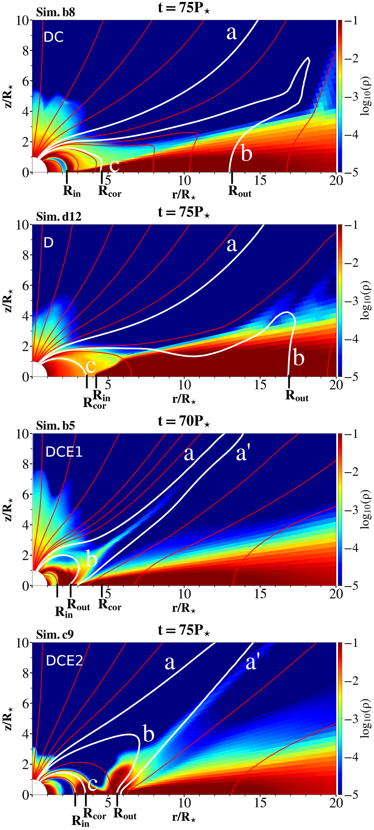
Four typical geometries in our solutions: Disk+Column (DC), Disk (D), Disk+Column+Ejection1 (DCE1), and Disk+Column+Ejection2 (DCE2) illustrated by snapshots in quasi-stationary states in simulations b8, d12, b5, and c9 (top to bottom, respectively). We show the density in a logarithmic color grading, with a sample of magnetic field lines in red solid lines. White lines labeled a, a’, b, and c delimit the components of the flow between which we integrate the fluxes; Rin, Rout and Rcor are the inner disk edge, the furthest outer reach of closed stellar field in the disk and the corotation radius, respectively.
Current usage metrics show cumulative count of Article Views (full-text article views including HTML views, PDF and ePub downloads, according to the available data) and Abstracts Views on Vision4Press platform.
Data correspond to usage on the plateform after 2015. The current usage metrics is available 48-96 hours after online publication and is updated daily on week days.
Initial download of the metrics may take a while.