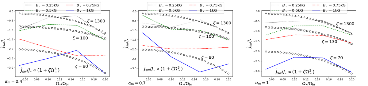
Fig. 10.

Download original image
Torques by the stellar wind (expressed in units of J⋆) in dependence of the stellar rotation rate in the cases without magnetospheric ejection (αm = 0.4, 0.7, 1.0). With the square, circle and triangle symbols are plotted approximate matching functions, indicated in each panel. In most of the cases,
is increasingly negative with the increase in stellar magnetic field strength and rotation rate. The cases with slower stellar rotation often do not match the approximated functions.
Current usage metrics show cumulative count of Article Views (full-text article views including HTML views, PDF and ePub downloads, according to the available data) and Abstracts Views on Vision4Press platform.
Data correspond to usage on the plateform after 2015. The current usage metrics is available 48-96 hours after online publication and is updated daily on week days.
Initial download of the metrics may take a while.