Fig. 11.

Download original image
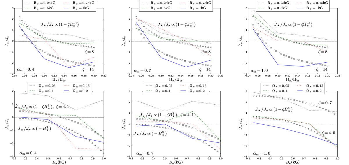
Torques, , (expressed in units of J⋆) exerted on the star by material infalling from the disk in all the cases without magnetospheric ejection: these are all the cases except a,b,c,d(1,5,9,13), with the resistive coefficient αm = 0.4, 0.7 and 1.0. Approximate matching functions and trends in solutions with different stellar rotation rates and magnetic field strengths are shown as
(top) and
(bottom). The dependence on αm is small.
Current usage metrics show cumulative count of Article Views (full-text article views including HTML views, PDF and ePub downloads, according to the available data) and Abstracts Views on Vision4Press platform.
Data correspond to usage on the plateform after 2015. The current usage metrics is available 48-96 hours after online publication and is updated daily on week days.
Initial download of the metrics may take a while.