Open Access
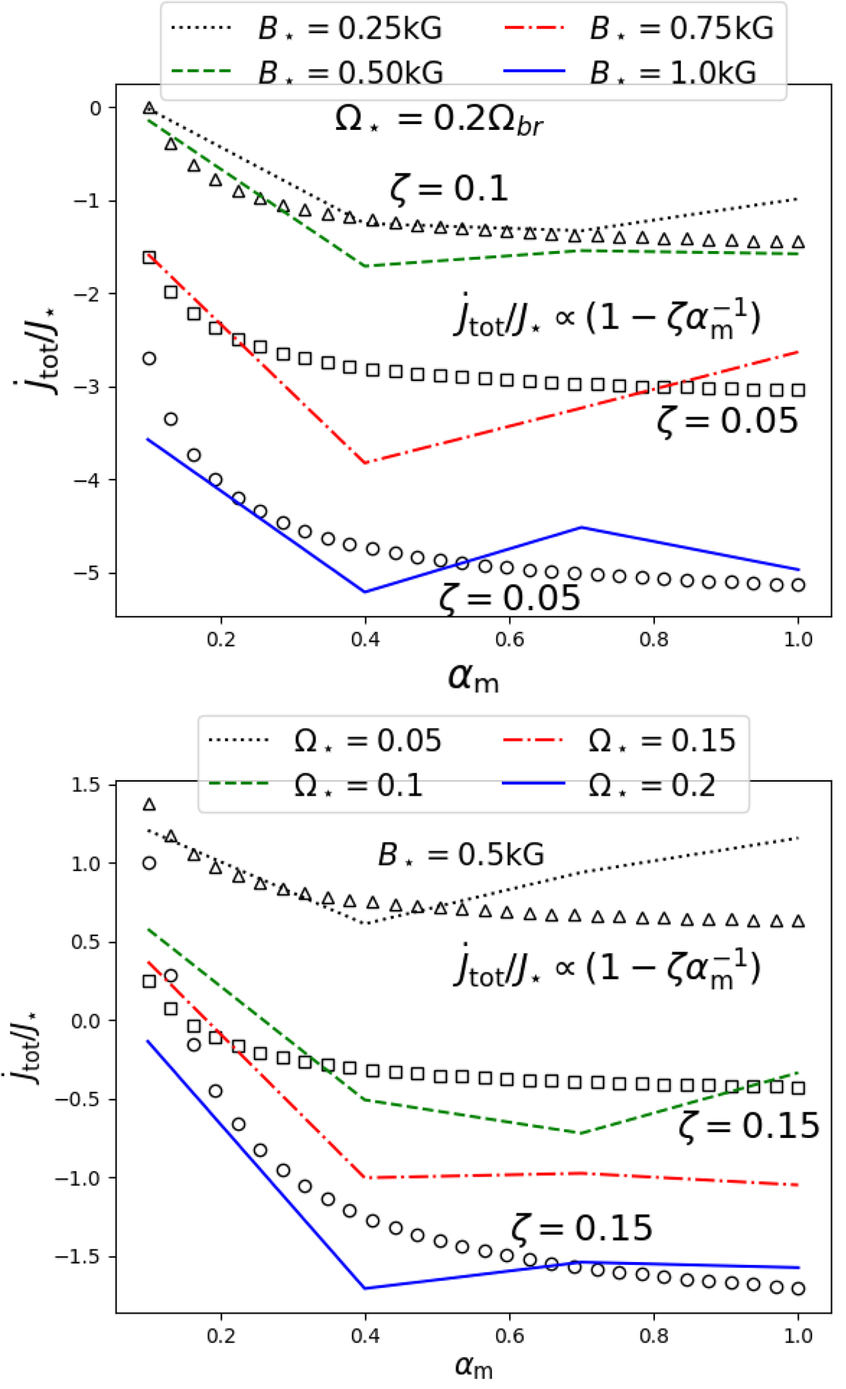
Fig. 17.

Download original image
Total torques in the system (expressed in units of J⋆) in cases a,b,c,d(13,14,15,16), with fastest stellar rotation in our sample, Ω⋆ = 0.2 (top) and in cases b(1–16) with B⋆ = 0.5 kG (bottom), showing the 1/αm dependence. Similar results are obtained in most of the other cases.
Current usage metrics show cumulative count of Article Views (full-text article views including HTML views, PDF and ePub downloads, according to the available data) and Abstracts Views on Vision4Press platform.
Data correspond to usage on the plateform after 2015. The current usage metrics is available 48-96 hours after online publication and is updated daily on week days.
Initial download of the metrics may take a while.