Open Access
Fig. 18.

Download original image
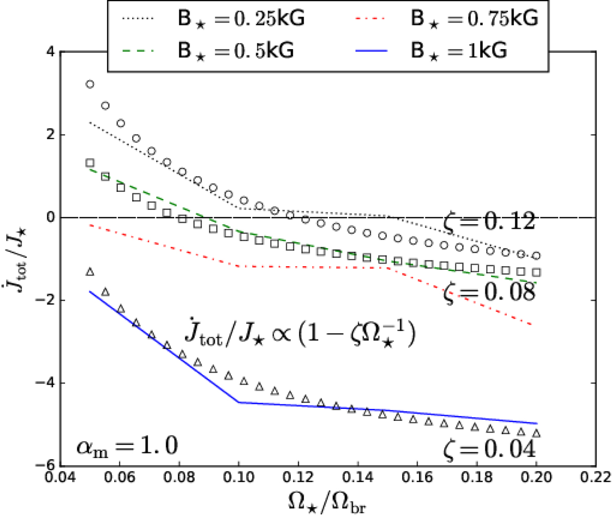
Total torques (expressed in units of J⋆) for the anomalous resistivity coefficient αm = 1.0 in the cases a,b,c,d(4,8,12,16) with different B⋆, in terms of the dependence of stellar rotation rate, . The total torque in the system is increasingly negative with the increase in stellar field, B⋆.
Current usage metrics show cumulative count of Article Views (full-text article views including HTML views, PDF and ePub downloads, according to the available data) and Abstracts Views on Vision4Press platform.
Data correspond to usage on the plateform after 2015. The current usage metrics is available 48-96 hours after online publication and is updated daily on week days.
Initial download of the metrics may take a while.