Fig. 4.

Download original image
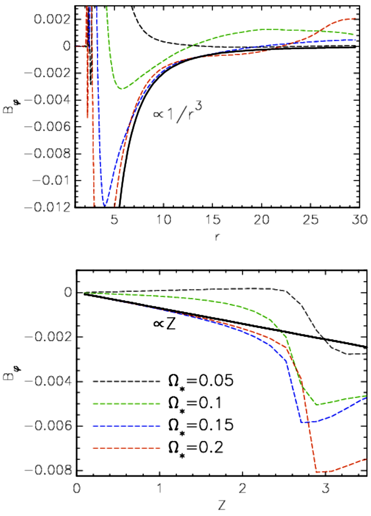
Toroidal magnetic field values along the disk surface (top) and along the disk height (measured from the disk equatorial plane) at R = 12R⋆ (bottom) are shown in terms of their dependence of stellar rotation rates. The values are averaged over 10 stellar rotation periods during the quasi-stationary states, in the cases with αm = 1 and B⋆ = 500 G (simulations b1, b5, b9, and b13). In black, green, blue, and red dashed lines we display the values for 0.05, 0.1, 0.15, and 0.2 of Ωbr, respectively. The black solid lines provide the reference for typical radial and vertical dependence.
Current usage metrics show cumulative count of Article Views (full-text article views including HTML views, PDF and ePub downloads, according to the available data) and Abstracts Views on Vision4Press platform.
Data correspond to usage on the plateform after 2015. The current usage metrics is available 48-96 hours after online publication and is updated daily on week days.
Initial download of the metrics may take a while.