Fig. 8.

Download original image
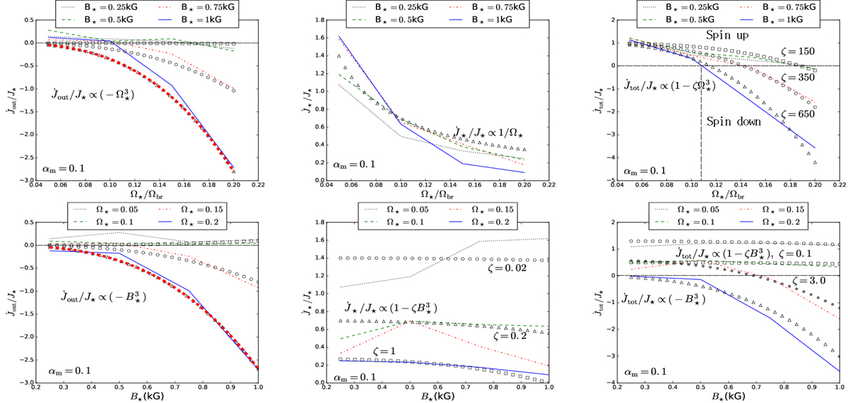
Components of the torque (expressed in units of J⋆) exerted on the star in the cases a,b,c,d(1,5,9,13), with αm = 0.1, when a magnetospheric ejection is launched from the star-disk magnetosphere. With the square, circle and triangle symbols are plotted approximate matching functions, indicated in each panel. Positive torque speeds the star up, negative slows it down. Top panels: Trends in torque components for cases with different stellar magnetic field strengths, as a function of the stellar rotation rate. Bottom panels: Same results as in the top panels, but given as a function of stellar magnetic field strength, organized by the different stellar rotation rates. Red lines in the left panels mark the examples of fitted lines (see text).
Current usage metrics show cumulative count of Article Views (full-text article views including HTML views, PDF and ePub downloads, according to the available data) and Abstracts Views on Vision4Press platform.
Data correspond to usage on the plateform after 2015. The current usage metrics is available 48-96 hours after online publication and is updated daily on week days.
Initial download of the metrics may take a while.