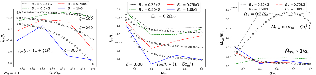
Fig. 9.

Download original image
Torques by the stellar wind, (expressed in units of J⋆) in terms of the dependence of the stellar rotation rate in the cases with the magnetospheric ejection, αm = 0.1, (left). In all the cases except for the slowest stellar rotation rates,
drops with
dependence.
is increasingly negative with the increase in stellar magnetic field strength and rotation rate, and is also decreasing slightly with 1/αm (middle). Mass fluxes in the stellar wind in the cases with the fastest stellar rotation rates in our simulations (right) also mostly decrease slightly with 1/αm. The y-label multiplication factor is given in the left upper corner of this panel.
Current usage metrics show cumulative count of Article Views (full-text article views including HTML views, PDF and ePub downloads, according to the available data) and Abstracts Views on Vision4Press platform.
Data correspond to usage on the plateform after 2015. The current usage metrics is available 48-96 hours after online publication and is updated daily on week days.
Initial download of the metrics may take a while.