Fig. 9.

Download original image
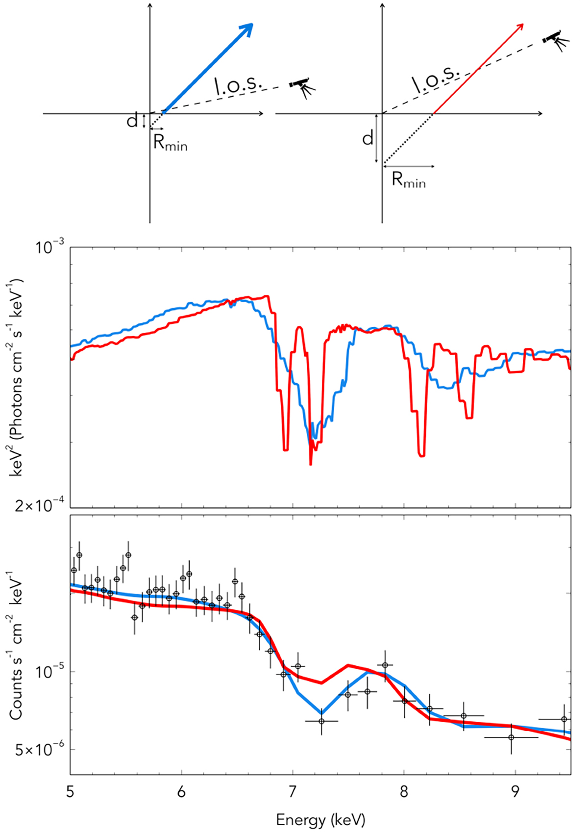
Two different geometries for the interpretation of the blueshifted absorption troughs in the Fe K band of PG 1126-041. A wind with a smaller Rin (corresponding to υ∞ = −0.25c) and observed at a larger inclination angle (θ = 80°) is shown in blue, while a wind with a larger Rin (corresponding to υ∞ = −0.0625c) observed at a smaller inclination angle (θ = 65°) is shown in red. Top panel: sketch of the geometry of the disk wind in the two cases (only Rin has been sketched for simplicity), with streamlines represented by arrows with different thicknesses, proportional to the terminal velocity. Central panel: two theoretical models. Bottom panel: 2009 pn data (in gray) overplotted on the two models folded with the instrumental response.
Current usage metrics show cumulative count of Article Views (full-text article views including HTML views, PDF and ePub downloads, according to the available data) and Abstracts Views on Vision4Press platform.
Data correspond to usage on the plateform after 2015. The current usage metrics is available 48-96 hours after online publication and is updated daily on week days.
Initial download of the metrics may take a while.