Open Access
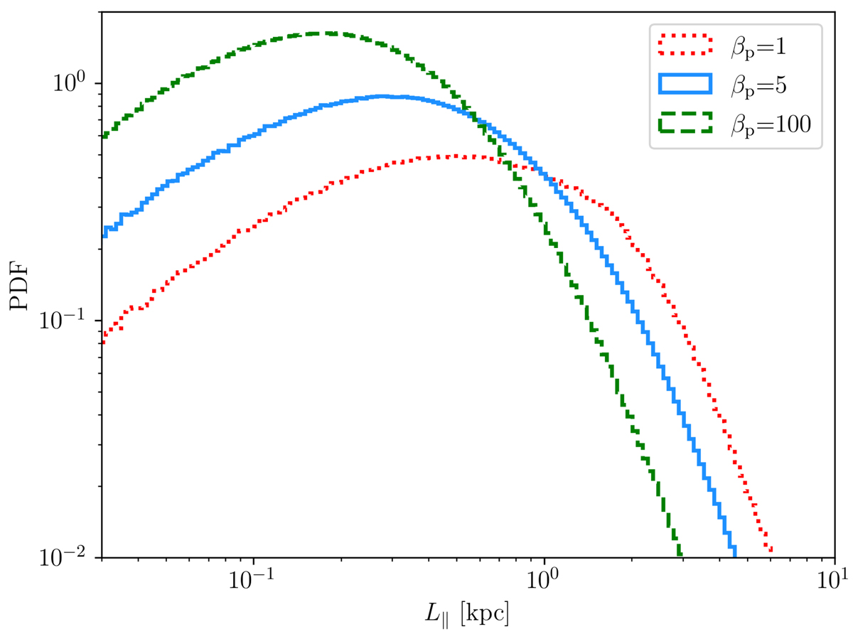
Fig. 6.

Download original image
Probability distribution functions of the characteristic length scale parallel to the magnetic field in the cocoon where z > 40 kpc for model A (red dotted), B (blue solid), and C (green dashed) at the end of the simulations. We define the cocoon as grids with the electron temperature higher than 108 K and z > 40 kpc.
Current usage metrics show cumulative count of Article Views (full-text article views including HTML views, PDF and ePub downloads, according to the available data) and Abstracts Views on Vision4Press platform.
Data correspond to usage on the plateform after 2015. The current usage metrics is available 48-96 hours after online publication and is updated daily on week days.
Initial download of the metrics may take a while.