Open Access
Fig. 5

Download original image
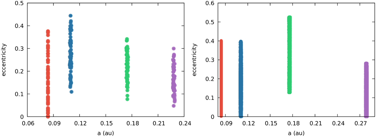
Random resonant solutions in the semimajor axis and eccentricity planet for the two different chains (3:2, 2:1, and 3:2 on the left and 3:2, 2:1, and 2:1 on the right). The solutions are scalable in semimajor axes, and the three inner planet semimajor axes can be shifted until they coincide with the observed ones.
Current usage metrics show cumulative count of Article Views (full-text article views including HTML views, PDF and ePub downloads, according to the available data) and Abstracts Views on Vision4Press platform.
Data correspond to usage on the plateform after 2015. The current usage metrics is available 48-96 hours after online publication and is updated daily on week days.
Initial download of the metrics may take a while.