Open Access
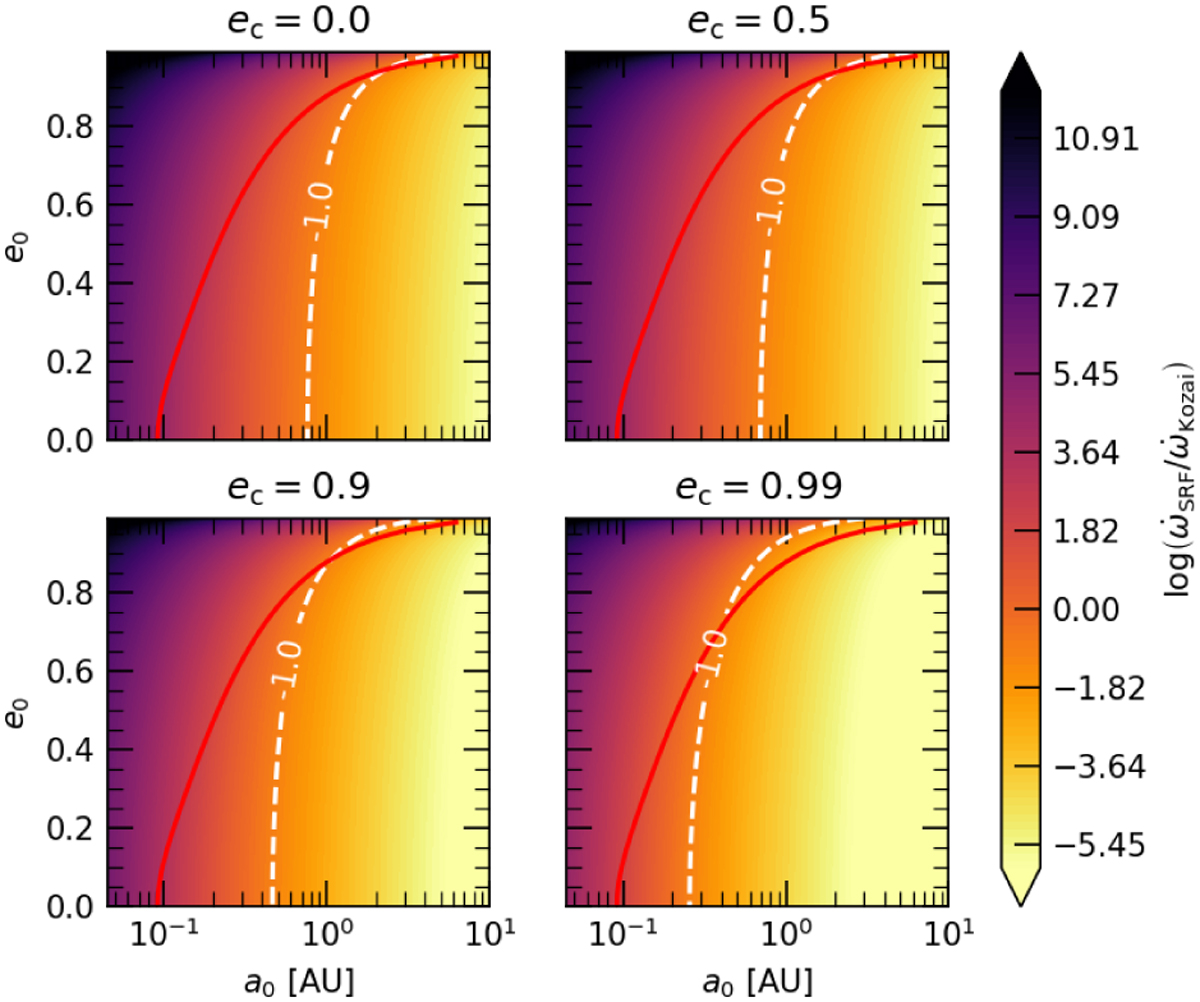
Fig. 10

Download original image
Ratio of short-range forces to Kozai–Lidov precession rate as a function of the initial semi-major axis and eccentricity of TOI-858 B b’s orbit for four different values of TOI-858 A’s orbital eccentricity. The white dashed lines show . The red lines indicate the co-rotation radius.
Current usage metrics show cumulative count of Article Views (full-text article views including HTML views, PDF and ePub downloads, according to the available data) and Abstracts Views on Vision4Press platform.
Data correspond to usage on the plateform after 2015. The current usage metrics is available 48-96 hours after online publication and is updated daily on week days.
Initial download of the metrics may take a while.